Chatbox

3 ème Sc expérimentales

Chargement 0%
Aucun texte alternatif disponible.

Confirmer?


Photo de Classi.tn
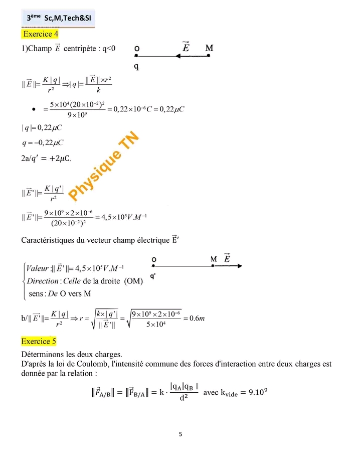
Série d'interaction électrique corrigé
3ème Sc + M + Tech + Info
Preview
9858_1.jpg
0
Preview
9858_10.jpg
0
Preview
9858_11.jpg
0
Preview
9858_12.jpg
0
Preview
9858_2.jpg
0
Preview
9858_3.jpg
0
Preview
9858_4.jpg
0
Preview
9858_5.jpg
0
Preview
9858_6.jpg
0
Preview
9858_7.jpg
0
Preview
9858_8.jpg
0
Preview
9858_9.jpg
0

Notre chaîne Classi.tn ❤️

Rejoignez notre communauté sur Messenger pour ne rien rater de nos actualités, astuces et contenus exclusifs !

Messenger
Classi.tn - Plateforme éducative tunisienne
Rejoindre la chaîne
Communauté active
Notifications exclusives
Contenus éducatifs