Chatbox
3 ème Sc expérimentales
Ajouter des photos
Chargement
0%
classi.tn
Connexion
Confirmer?
Supprimer
Annuler
+
Créer une publication
3 ème Sc expérimentales
Forum 3ème sciences
Sciences SVT
Math
Physique
Informatique
Français
English
Espagnol
Italien
عربية
التربية التشكيلية
تاريخ
جغرافيا
التفكير الإسلامي
فلسفة
Membres
Math ( 93 )
3eme année science-math
DC2 math - 3eme sc + correction
devoir de contrôle n°1 math+correction
DC1- 3éme science + correction
Fonctions trigonométrique + corrigé
Voir Tout
3 ème Sc expérimentales
Annuler
Enregistrer
Rejoindre classe
Annuler
Enregistrer
Classi.tn
2022-03-17 • 16:18
Math
⋯
Ouvrir dans un nouvel onglet
Copier lien
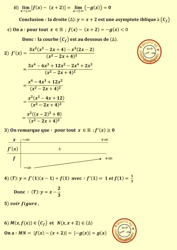
devoir de synthese n2 math avec corrige
المشتركون والأعضاء الفاعلة في الموقع لهم أولوية التحميل، لكن يمكنك الانتظار 20 ثانية
اشترك الان
4559_1.jpg
20
Télécharger
4559_2.jpg
20
Télécharger
4559_3.jpg
20
Télécharger
4559_4.jpg
20
Télécharger
4559_5.jpg
20
Télécharger
4559_6.jpg
20
Télécharger
4559_7.jpg
20
Télécharger
4559_8.jpg
20
Télécharger
📄
Télécharger le PDF
0