Chatbox
3 ème Sc expérimentales
Ajouter des photos
Chargement
0%
classi.tn
Connexion
Confirmer?
Supprimer
Annuler
+
Créer une publication
3 ème Sc expérimentales
Forum 3ème sciences
Sciences SVT
Math
Physique
Informatique
Français
English
Espagnol
Italien
عربية
التربية التشكيلية
تاريخ
جغرافيا
التفكير الإسلامي
فلسفة
Membres
Physique ( 130 )
Série n°6 Les acides carboxyliques aliphatiques saturés3SC
Étude expérimentale du mouvement d’un projectile3SC
Série n°7 Étude dynamique d'un solide en mouvement de translation
Voir Tout
3 ème Sc expérimentales
Annuler
Enregistrer
Rejoindre classe
Annuler
Enregistrer
Classi.tn
2024-10-20 • 11:04
Physique
⋯
Ouvrir dans un nouvel onglet
Copier lien
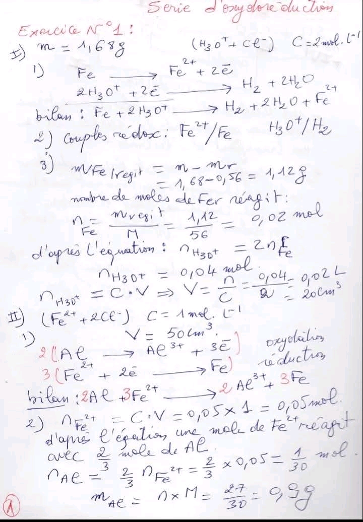
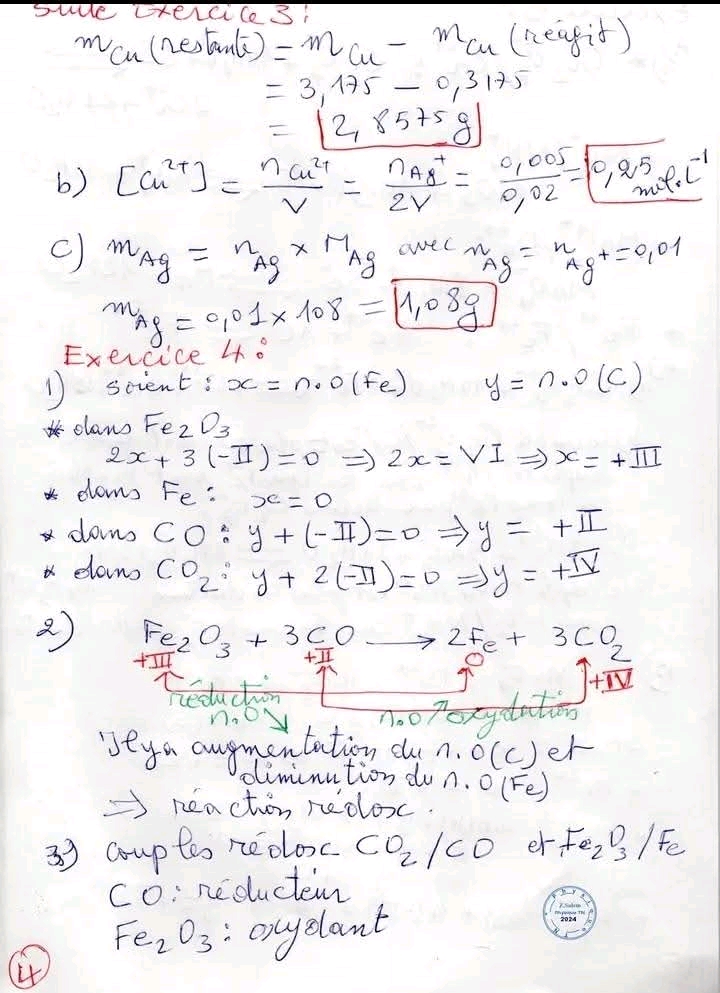
Série oxydoréduction corrigé pour 3 ème année
المشتركون والأعضاء الفاعلة في الموقع لهم أولوية التحميل، لكن يمكنك الانتظار 20 ثانية
اشترك الان
1729418448024.jpg
20
Télécharger
1729418450181.jpg
20
Télécharger
1729418452127.jpg
20
Télécharger
1729418454855.jpg
20
Télécharger
1729418458684.jpg
20
Télécharger
1729418459149.jpg
20
Télécharger
1729418461014.jpg
20
Télécharger
1729418462807.jpg
20
Télécharger
1729418464425.jpg
20
Télécharger
📄
Télécharger le PDF
0