Chatbox
3 ème Sc expérimentales
Ajouter des photos
Chargement
0%
classi.tn
Connexion
Confirmer?
Supprimer
Annuler
+
Créer une publication
3 ème Sc expérimentales
Forum 3ème sciences
Sciences SVT
Math
Physique
Informatique
Français
English
Espagnol
Italien
عربية
التربية التشكيلية
تاريخ
جغرافيا
التفكير الإسلامي
فلسفة
Membres
Physique ( 130 )
Série n°6 Les acides carboxyliques aliphatiques saturés3SC
Étude expérimentale du mouvement d’un projectile3SC
Série n°7 Étude dynamique d'un solide en mouvement de translation
Voir Tout
3 ème Sc expérimentales
Annuler
Enregistrer
Rejoindre classe
Annuler
Enregistrer
Classi.tn
2023-10-25 • 14:45
Physique
⋯
Ouvrir dans un nouvel onglet
Copier lien
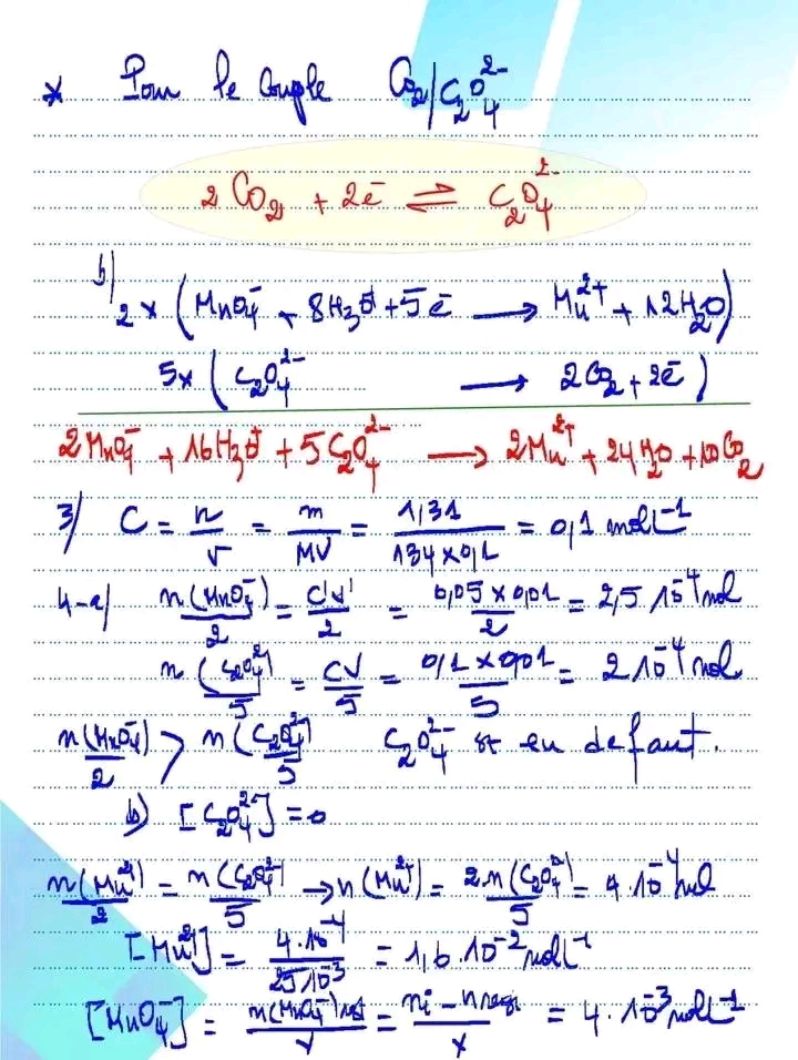
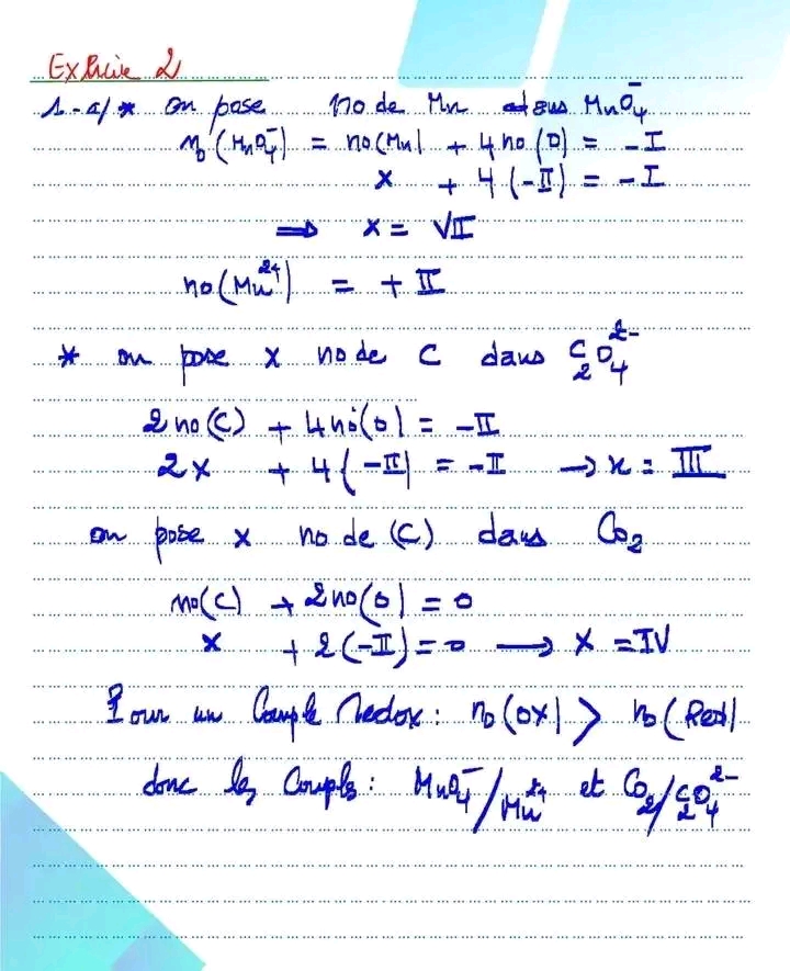
Exercices chimie Corrigé pour 3 ème année
المشتركون والأعضاء الفاعلة في الموقع لهم أولوية التحميل، لكن يمكنك الانتظار 20 ثانية
اشترك الان
1002161_1.jpg
20
Télécharger
1002161_2.jpg
20
Télécharger
1002161_3.jpg
20
Télécharger
1002161_4.jpg
20
Télécharger
1002161_5.jpg
20
Télécharger
1002161_6.jpg
20
Télécharger
1002161_7.jpg
20
Télécharger
📄
Télécharger le PDF
0