Chatbox
8 ème-الثامنة أساسي
Ajouter des photos
Chargement
0%
classi.tn
Connexion
Confirmer?
Supprimer
Annuler
+
Créer une publication
8 ème-الثامنة أساسي
عربية
Français
English
رياضيات
فيزياء
ت.تكنولوجية
علوم الحياة والأرض
Informatique
ت.إسلامية
ت.مدنية
تاريخ
تمارين تفاعلية
الجغرافيا
لغة
موسيقى
Membres
رياضيات ( 438 )
Voir Tout
8 ème-الثامنة أساسي
Annuler
Enregistrer
Rejoindre classe
Annuler
Enregistrer
Classi.tn
2022-08-01 • 12:33
رياضيات
⋯
Ouvrir dans un nouvel onglet
Copier lien
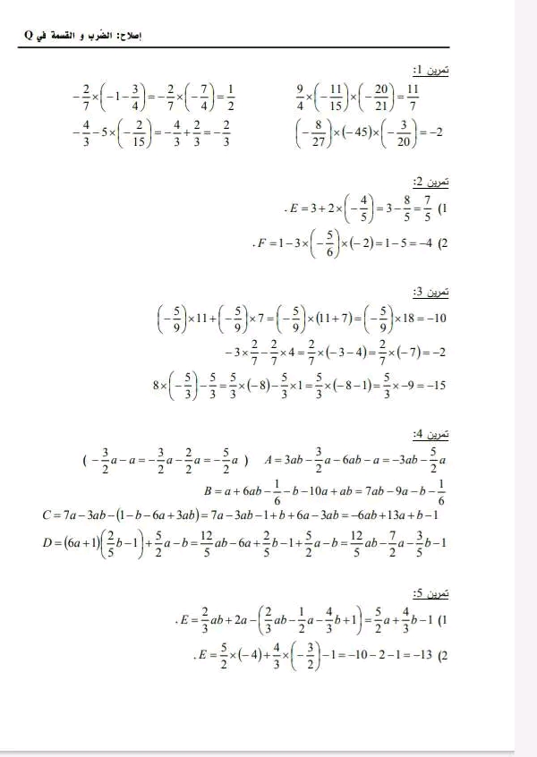
الثامنة اساسي
مراجعة الجزء الاول
الضرب والقسمة في مجموعة الاعداد الكسرية
سلسلة تمارين مرفقة بالاصلاح
المشتركون والأعضاء الفاعلة في الموقع لهم أولوية التحميل، لكن يمكنك الانتظار 20 ثانية
اشترك الان
7244_1.jpg
20
Télécharger
7244_2.jpg
20
Télécharger
7244_3.jpg
20
Télécharger
7244_4.jpg
20
Télécharger
📄
Télécharger le PDF
0