Chatbox
8 ème-الثامنة أساسي
Ajouter des photos
Chargement
0%
classi.tn
Connexion
Confirmer?
Supprimer
Annuler
+
Créer une publication
8 ème-الثامنة أساسي
عربية
Français
English
رياضيات
فيزياء
ت.تكنولوجية
علوم الحياة والأرض
Informatique
ت.إسلامية
ت.مدنية
تاريخ
تمارين تفاعلية
الجغرافيا
لغة
موسيقى
Membres
رياضيات ( 438 )
Voir Tout
8 ème-الثامنة أساسي
Annuler
Enregistrer
Rejoindre classe
Annuler
Enregistrer
Classi.tn
2022-07-19 • 15:26
رياضيات
⋯
Ouvrir dans un nouvel onglet
Copier lien
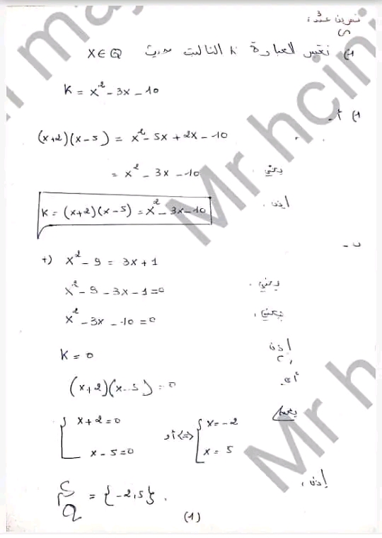
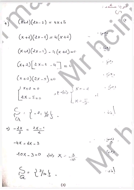
فرض مراقبة عدد 5رياضيات بالاصلاح
ثامنة اساسي
المشتركون والأعضاء الفاعلة في الموقع لهم أولوية التحميل، لكن يمكنك الانتظار 20 ثانية
اشترك الان
1658240686718.jpg
20
Télécharger
1658240688759.jpg
20
Télécharger
1658240690479.jpg
20
Télécharger
1658240692214.jpg
20
Télécharger
1658240693926.jpg
20
Télécharger
1658240696058.jpg
20
Télécharger
1658240697917.jpg
20
Télécharger
1658240699914.jpg
20
Télécharger
📄
Télécharger le PDF
0