Chatbox
8 ème-الثامنة أساسي
Ajouter des photos
Chargement
0%
classi.tn
Connexion
Confirmer?
Supprimer
Annuler
+
Créer une publication
8 ème-الثامنة أساسي
عربية
Français
English
رياضيات
فيزياء
ت.تكنولوجية
علوم الحياة والأرض
Informatique
ت.إسلامية
ت.مدنية
تاريخ
تمارين تفاعلية
الجغرافيا
لغة
موسيقى
Membres
رياضيات ( 438 )
Voir Tout
8 ème-الثامنة أساسي
Annuler
Enregistrer
Rejoindre classe
Annuler
Enregistrer
Mesfar Nejah
2025-01-12 • 13:33
رياضيات
⋯
Ouvrir dans un nouvel onglet
Copier lien
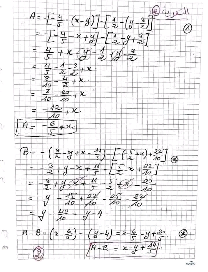
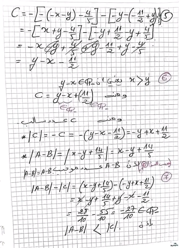
Math contrôle 3 8eme avec correction
المشتركون والأعضاء الفاعلة في الموقع لهم أولوية التحميل، لكن يمكنك الانتظار 20 ثانية
اشترك الان
1736685118924.jpg
20
Télécharger
1736685120660.jpg
20
Télécharger
1736685122307.jpg
20
Télécharger
1736685123735.jpg
20
Télécharger
1736685125121.jpg
20
Télécharger
1736685126635.jpg
20
Télécharger
1736685128683.jpg
20
Télécharger
1736685130207.jpg
20
Télécharger
📄
Télécharger le PDF
0