Chatbox
8 ème-الثامنة أساسي
Ajouter des photos
Chargement
0%
classi.tn
Connexion
Confirmer?
Supprimer
Annuler
+
Créer une publication
8 ème-الثامنة أساسي
عربية
Français
English
رياضيات
فيزياء
ت.تكنولوجية
علوم الحياة والأرض
Informatique
ت.إسلامية
ت.مدنية
تاريخ
تمارين تفاعلية
الجغرافيا
لغة
موسيقى
Membres
رياضيات ( 438 )
Voir Tout
8 ème-الثامنة أساسي
Annuler
Enregistrer
Rejoindre classe
Annuler
Enregistrer
Mesfar Nejah
2024-02-01 • 15:11
رياضيات
⋯
Ouvrir dans un nouvel onglet
Copier lien
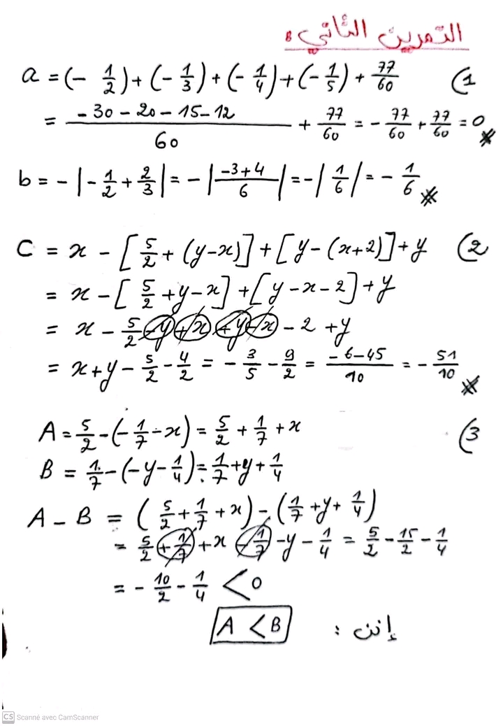
فرض مراقبة عدد 3
رياضيات ثامنةاساسي
مع مقترح أصلاح
شكرا لصاحب العمل
المشتركون والأعضاء الفاعلة في الموقع لهم أولوية التحميل، لكن يمكنك الانتظار 20 ثانية
اشترك الان
1010512_1.jpg
20
Télécharger
1010512_2.jpg
20
Télécharger
1010512_3.jpg
20
Télécharger
1010512_4.jpg
20
Télécharger
1010512_5.jpg
20
Télécharger
1010512_6.jpg
20
Télécharger
📄
Télécharger le PDF
0