Chatbox
Bac Sc expérimentales
Ajouter des photos
Chargement
0%
classi.tn
Connexion
Confirmer?
Supprimer
Annuler
+
Créer une publication
Bac Sc expérimentales
Forum Bac Sciences
Sciences SVT
Math
Physique
Informatique
فلسفة
عربية
Français
English
Allemand
Espagnol
Italien
Membres
Physique ( 236 )
Voir Tout
Bac Sc expérimentales
Annuler
Enregistrer
Rejoindre classe
Annuler
Enregistrer
Science__physique
Prof
هذا المحتوى خاص فقط لمشتركي
classi.tn
2024-09-26 • 07:23
Physique
⋯
Ouvrir dans un nouvel onglet
Copier lien
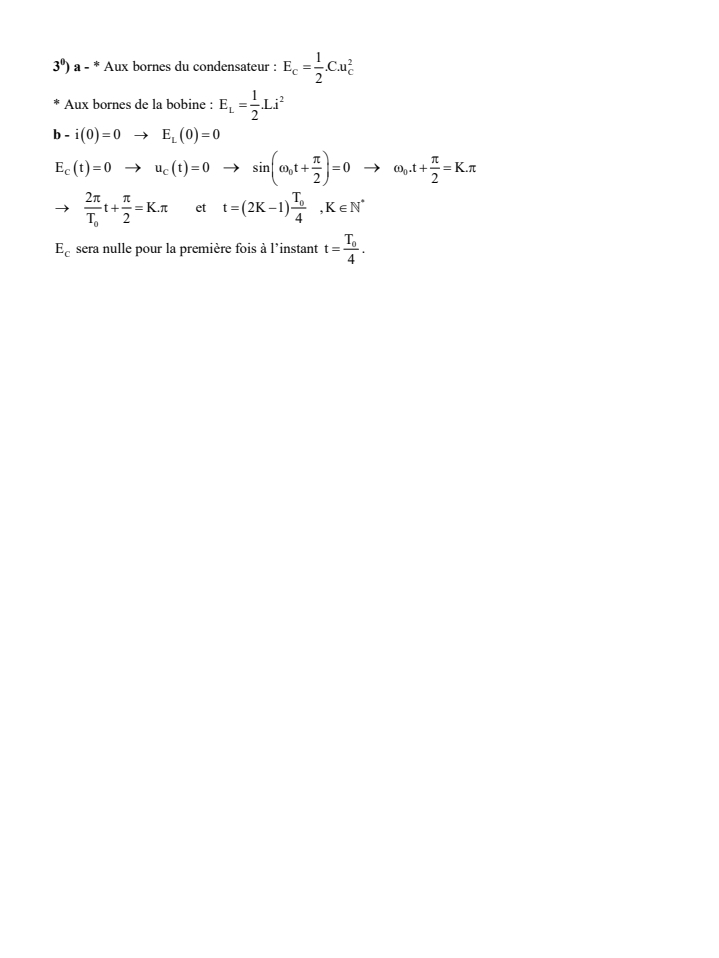
Cours - Les Oscillations Électriques Libres
تسجيل الدخول مطلوب
🔐 لمشاهدة المحتوى يجب عليك فتح حساب في الموقع
افتح حسابك الان
0