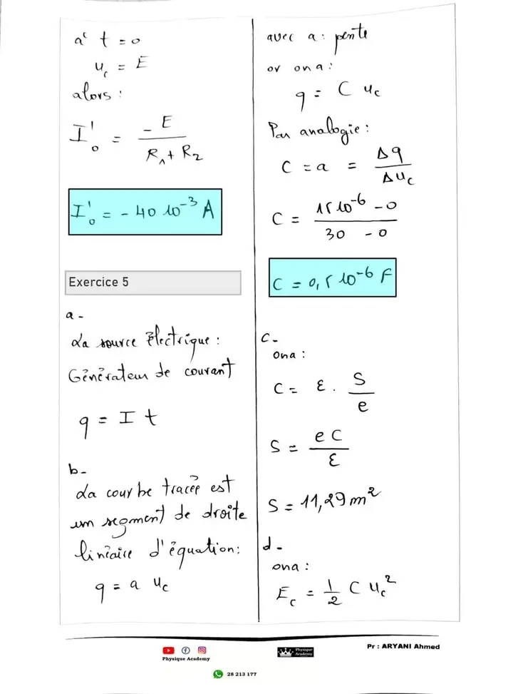
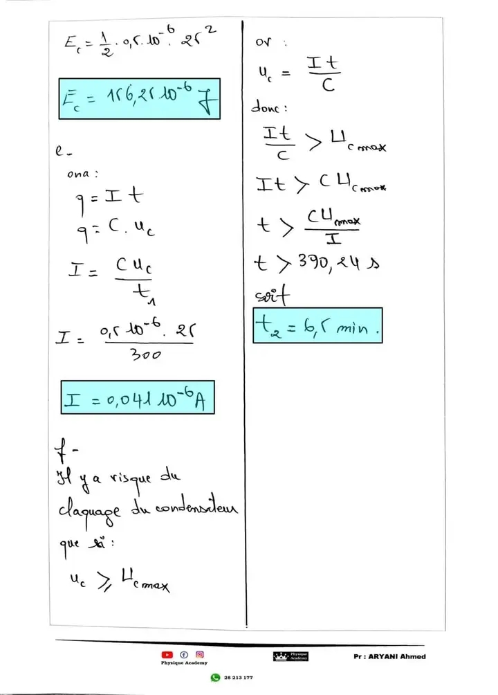
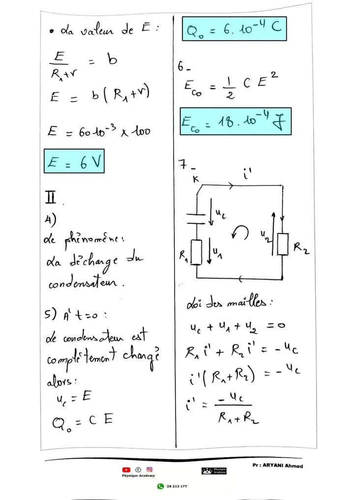
Série 1 corrigée :
Le Condensateur
Sections
Sciences expérimentales
Mathématiques
Techniques
Informatique
Merci à l'auteur de ce travail
Le Condensateur
Sections
Sciences expérimentales
Mathématiques
Techniques
Informatique
Merci à l'auteur de ce travail










