Chatbox
Bac Sc de l'informatique
Ajouter des photos
Chargement
0%
classi.tn
Connexion
Confirmer?
Supprimer
Annuler
+
Créer une publication
Bac Sc de l'informatique
Forum Bac Info
Algorithme et programmation
Base de données
Math
Physique
TIC
Français
عربية
English
Allemand
Espagnol
Italien
Membres
Math ( 34 )
Bac Sc de l'informatique
Annuler
Enregistrer
Rejoindre classe
Annuler
Enregistrer
Classi.tn
2023-05-07 • 11:54
Math
⋯
Ouvrir dans un nouvel onglet
Copier lien
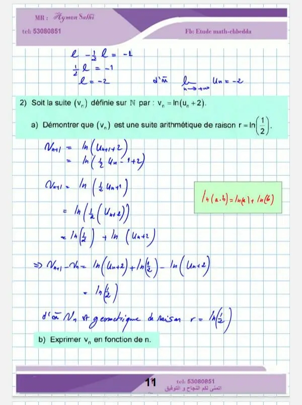
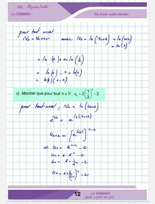
Révision bac info
Suites réelles
المشتركون والأعضاء الفاعلة في الموقع لهم أولوية التحميل، لكن يمكنك الانتظار 20 ثانية
اشترك الان
23969_1.jpg
20
Télécharger
23969_10.jpg
20
Télécharger
23969_11.jpg
20
Télécharger
23969_12.jpg
20
Télécharger
23969_13.jpg
20
Télécharger
23969_2.jpg
20
Télécharger
23969_3.jpg
20
Télécharger
23969_4.jpg
20
Télécharger
23969_5.jpg
20
Télécharger
23969_6.jpg
20
Télécharger
23969_7.jpg
20
Télécharger
23969_8.jpg
20
Télécharger
23969_9.jpg
20
Télécharger
📄
Télécharger le PDF
0