Chatbox
3 ème économie et gestion
Ajouter des photos
Chargement
0%
classi.tn
Connexion
Confirmer?
Supprimer
Annuler
+
Créer une publication
3 ème économie et gestion
Forum 3ème ECO
Économie
Gestion
Math
Français
English
Allemand
Espagnol
Informatique
التفكير الإسلامي
عربية
Italien
التربية التشكيلية
التاريخ
الجغرافيا
Membres
Math ( 32 )
probabilite
3 ème économie et gestion
Annuler
Enregistrer
Rejoindre classe
Annuler
Enregistrer
Classi.tn
2023-12-30 • 14:54
Math
⋯
Ouvrir dans un nouvel onglet
Copier lien
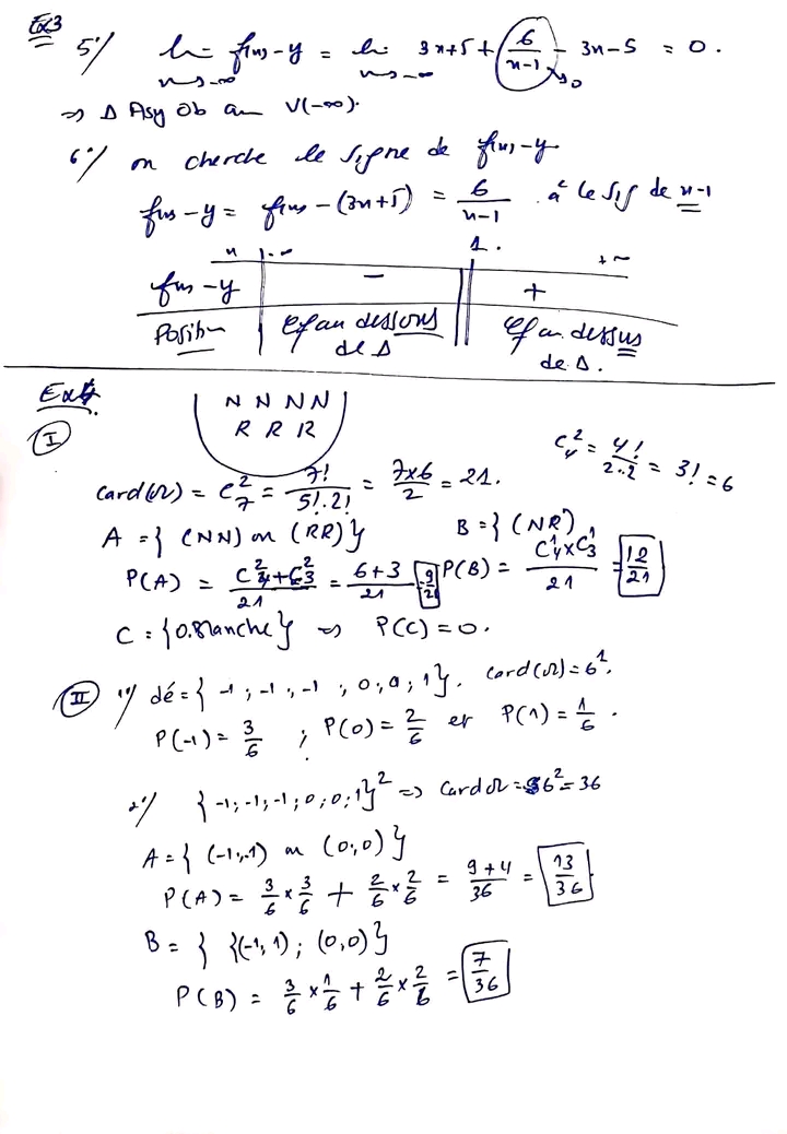
devoir de controle 2 math correction
3eme eco
المشتركون والأعضاء الفاعلة في الموقع لهم أولوية التحميل، لكن يمكنك الانتظار 20 ثانية
اشترك الان
1009289_1.jpg
20
Télécharger
1009289_2.jpg
20
Télécharger
1009289_3.jpg
20
Télécharger
1009289_4.jpg
20
Télécharger
1009289_5.jpg
20
Télécharger
📄
Télécharger le PDF
0