Chatbox
Bac Technique
Ajouter des photos
Chargement
0%
classi.tn
Connexion
Confirmer?
Supprimer
Annuler
+
Créer une publication
Bac Technique
Forum Bac Tech
Math
Physique
Informatique
Français
عربية
English
Allemand
Espagnol
Italien
mecanique
electrique
Chimie
Technologie
Membres
Math ( 75 )
Corrigé CMS +Sujets avec correction mathematiques session du 2002 au 2012Bac Tec
Série de révision complexe (4tec-2024)
Devoir de synthèse n°2 avec correction (4tec-2025).pdf
Voir Tout
Bac Technique
Annuler
Enregistrer
Rejoindre classe
Annuler
Enregistrer
Classi.tn
2022-08-19 • 12:29
Math
⋯
Ouvrir dans un nouvel onglet
Copier lien
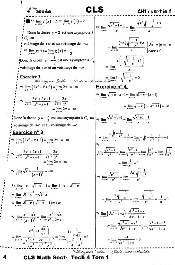
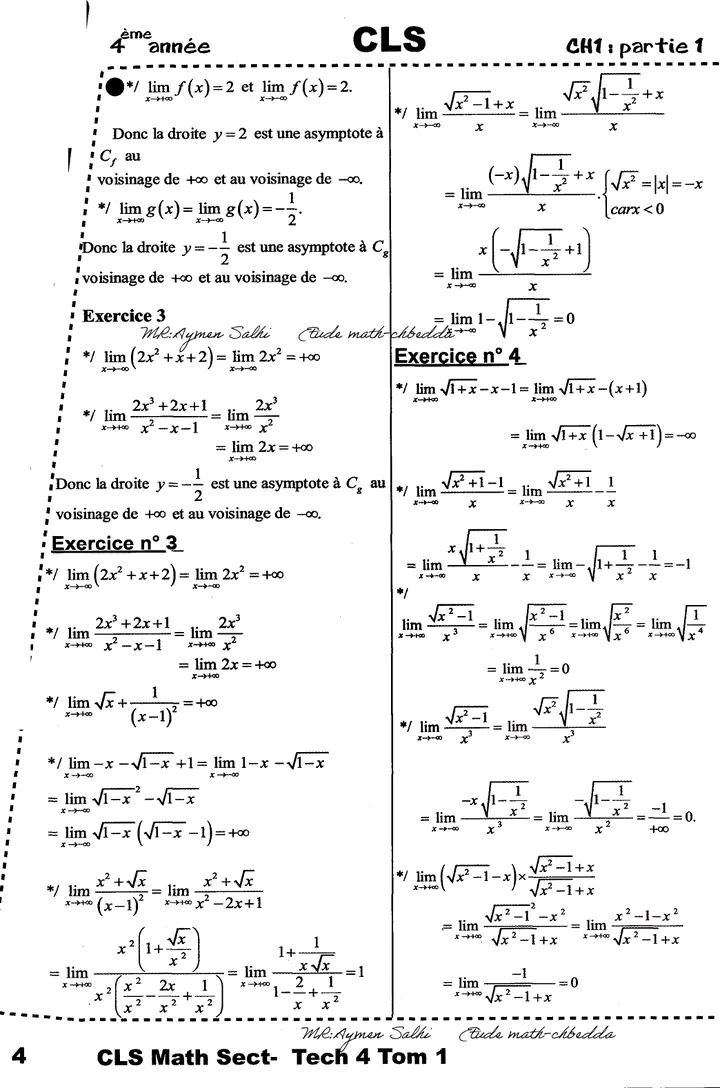
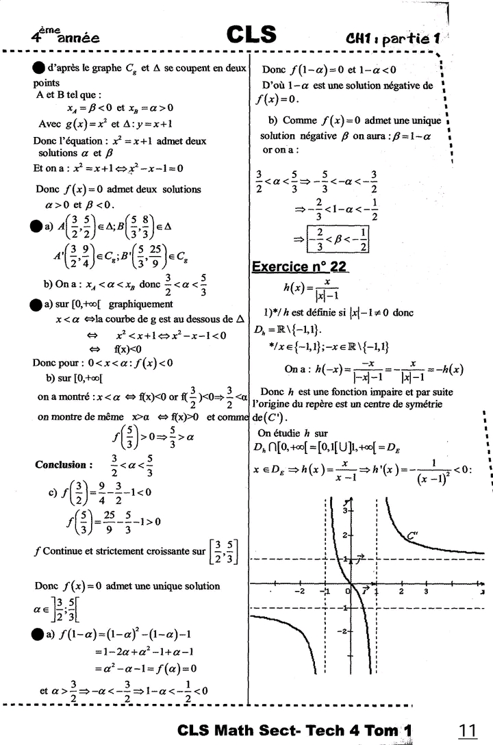
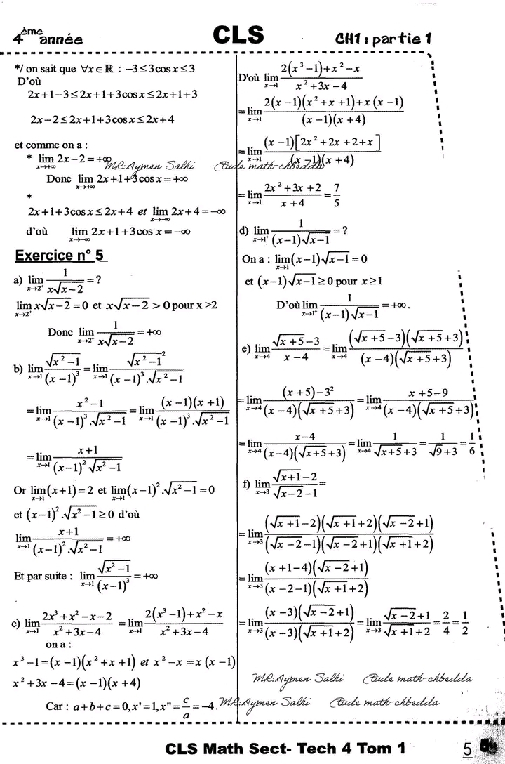
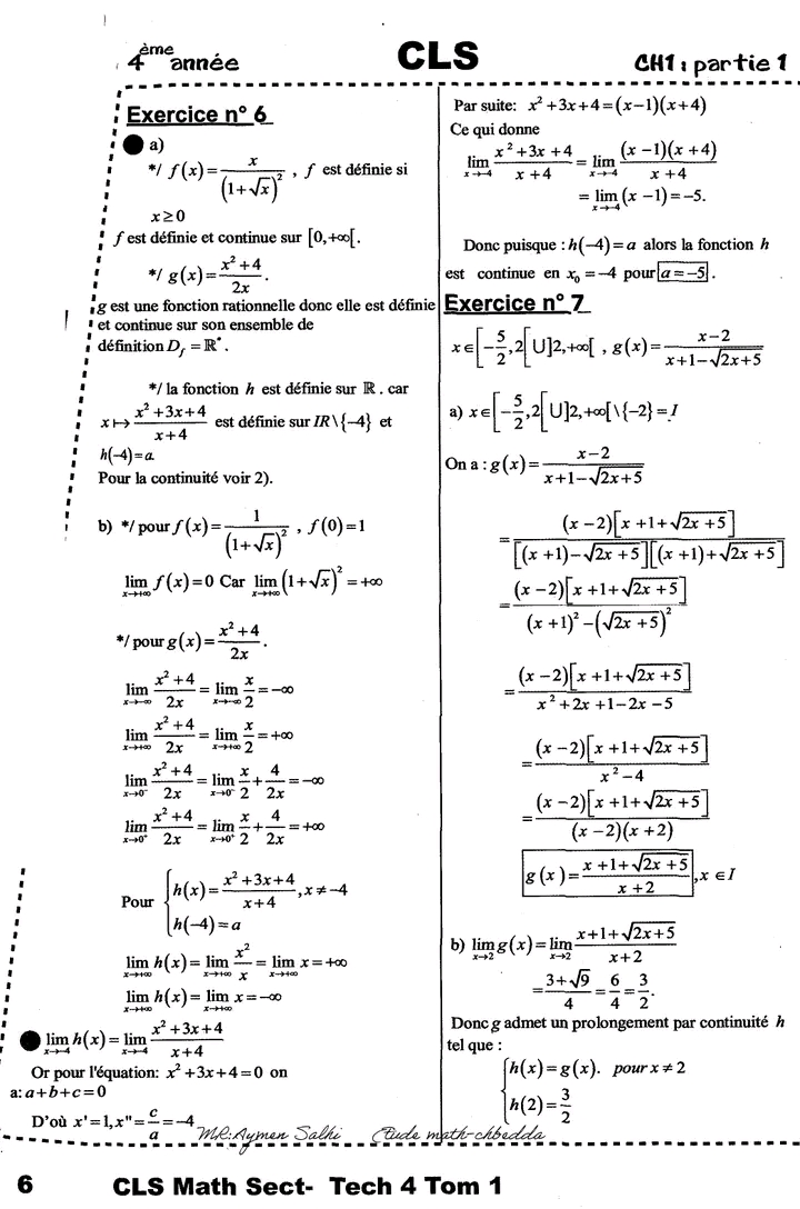
bac technique
chapitre 01 limite et continuite
corrigee
المشتركون والأعضاء الفاعلة في الموقع لهم أولوية التحميل، لكن يمكنك الانتظار 20 ثانية
اشترك الان
7885_1.jpg
20
Télécharger
7885_10.jpg
20
Télécharger
7885_11.jpg
20
Télécharger
7885_12.jpg
20
Télécharger
7885_13.jpg
20
Télécharger
7885_14.jpg
20
Télécharger
7885_15.jpg
20
Télécharger
7885_16.jpg
20
Télécharger
7885_17.jpg
20
Télécharger
7885_18.jpg
20
Télécharger
7885_19.jpg
20
Télécharger
7885_2.jpg
20
Télécharger
7885_3.jpg
20
Télécharger
7885_4.jpg
20
Télécharger
7885_6.jpg
20
Télécharger
7885_7.jpg
20
Télécharger
7885_8.jpg
20
Télécharger
7885_9.jpg
20
Télécharger
📄
Télécharger le PDF
0