Chatbox
Bac Technique
Ajouter des photos
Chargement
0%
classi.tn
Connexion
Confirmer?
Supprimer
Annuler
+
Créer une publication
Bac Technique
Forum Bac Tech
Math
Physique
Informatique
Français
عربية
English
Allemand
Espagnol
Italien
mecanique
electrique
Chimie
Technologie
Membres
Physique ( 69 )
Voir Tout
Bac Technique
Annuler
Enregistrer
Rejoindre classe
Annuler
Enregistrer
Classi.tn
2022-03-20 • 12:44
Physique
⋯
Ouvrir dans un nouvel onglet
Copier lien
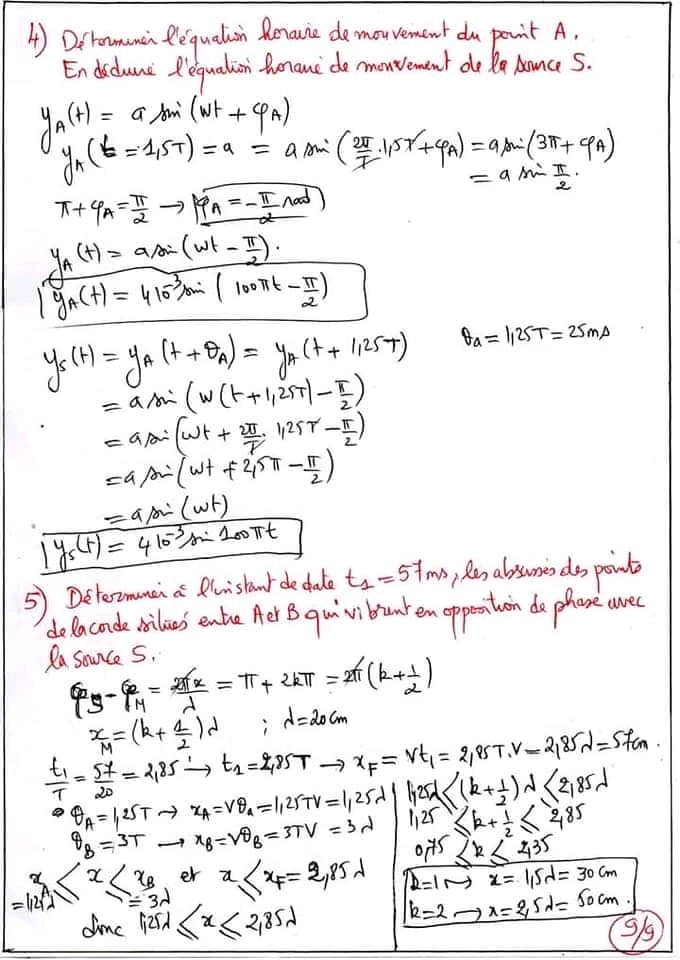
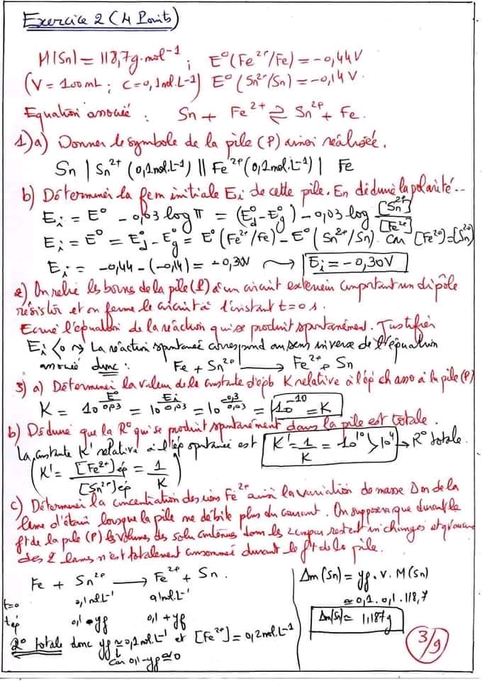
CORRECTION PHYSIQUE BAC TECH CONTROLE 2021
المشتركون والأعضاء الفاعلة في الموقع لهم أولوية التحميل، لكن يمكنك الانتظار 20 ثانية
اشترك الان
4613_1.jpg
20
Télécharger
4613_2.jpg
20
Télécharger
4613_3.jpg
20
Télécharger
4613_4.jpg
20
Télécharger
4613_5.jpg
20
Télécharger
4613_6.jpg
20
Télécharger
4613_7.jpg
20
Télécharger
4613_8.jpg
20
Télécharger
4613_9.jpg
20
Télécharger
📄
Télécharger le PDF
0