Chatbox
Bac Technique
Ajouter des photos
Chargement
0%
classi.tn
Connexion
Confirmer?
Supprimer
Annuler
+
Créer une publication
Bac Technique
Forum Bac Tech
Math
Physique
Informatique
Français
عربية
English
Allemand
Espagnol
Italien
mecanique
electrique
Chimie
Technologie
Membres
mecanique ( 24 )
Bac Technique
Annuler
Enregistrer
Rejoindre classe
Annuler
Enregistrer
Classi.tn
2023-04-08 • 14:08
mecanique
⋯
Ouvrir dans un nouvel onglet
Copier lien
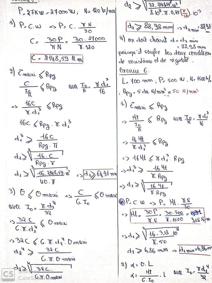
Série torsion simple avec corrections ❤❤
المشتركون والأعضاء الفاعلة في الموقع لهم أولوية التحميل، لكن يمكنك الانتظار 20 ثانية
اشترك الان
22325_1.jpg
20
Télécharger
22325_10.jpg
20
Télécharger
22325_11.jpg
20
Télécharger
22325_2.jpg
20
Télécharger
22325_3.jpg
20
Télécharger
22325_4.jpg
20
Télécharger
22325_5.jpg
20
Télécharger
22325_6.jpg
20
Télécharger
22325_7.jpg
20
Télécharger
22325_8.jpg
20
Télécharger
22325_9.jpg
20
Télécharger
📄
Télécharger le PDF
0