Chatbox
Bac Technique
Ajouter des photos
Chargement
0%
classi.tn
Connexion
Confirmer?
Supprimer
Annuler
+
Créer une publication
Bac Technique
Forum Bac Tech
Math
Physique
Informatique
Français
عربية
English
Allemand
Espagnol
Italien
mecanique
electrique
Chimie
Technologie
Membres
Math ( 75 )
Corrigé CMS +Sujets avec correction mathematiques session du 2002 au 2012Bac Tec
Série de révision complexe (4tec-2024)
Devoir de synthèse n°2 avec correction (4tec-2025).pdf
Voir Tout
Bac Technique
Annuler
Enregistrer
Rejoindre classe
Annuler
Enregistrer
Classi.tn
2023-03-19 • 20:13
Math
⋯
Ouvrir dans un nouvel onglet
Copier lien
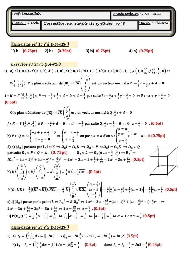
Devoir de Synthèse N°3 math pour Bac TECHNIQUE avec correction
المشتركون والأعضاء الفاعلة في الموقع لهم أولوية التحميل، لكن يمكنك الانتظار 20 ثانية
اشترك الان
21507_1.jpg
20
Télécharger
21507_2.jpg
20
Télécharger
21507_3.jpg
20
Télécharger
21507_4.jpg
20
Télécharger
21507_5.jpg
20
Télécharger
21507_6.jpg
20
Télécharger
📄
Télécharger le PDF
0