Chatbox
Bac Technique
Ajouter des photos
Chargement
0%
classi.tn
Connexion
Confirmer?
Supprimer
Annuler
+
Créer une publication
Bac Technique
Forum Bac Tech
Math
Physique
Informatique
Français
عربية
English
Allemand
Espagnol
Italien
mecanique
electrique
Chimie
Technologie
Membres
Physique ( 69 )
Voir Tout
Bac Technique
Annuler
Enregistrer
Rejoindre classe
Annuler
Enregistrer
Classi.tn
2023-01-20 • 09:48
Physique
⋯
Ouvrir dans un nouvel onglet
Copier lien
4ème Sc+M+Tech
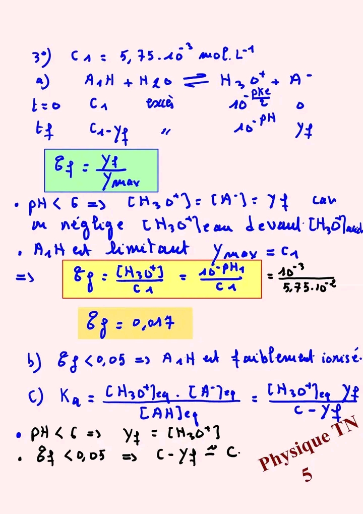
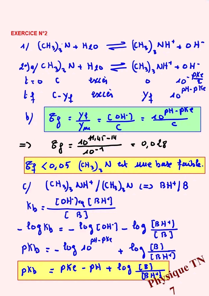
pH des solutions aqueuses
Exercices corrigés
المشتركون والأعضاء الفاعلة في الموقع لهم أولوية التحميل، لكن يمكنك الانتظار 20 ثانية
اشترك الان
16916_1.jpg
20
Télécharger
16916_10.jpg
20
Télécharger
16916_12.jpg
20
Télécharger
16916_13.jpg
20
Télécharger
16916_14.jpg
20
Télécharger
16916_15.jpg
20
Télécharger
16916_16.jpg
20
Télécharger
16916_17.jpg
20
Télécharger
16916_18.jpg
20
Télécharger
16916_2.jpg
20
Télécharger
16916_4.jpg
20
Télécharger
16916_5.jpg
20
Télécharger
16916_6.jpg
20
Télécharger
16916_7.jpg
20
Télécharger
16916_8.jpg
20
Télécharger
16916_9.jpg
20
Télécharger
📄
Télécharger le PDF
0