Chatbox

Bac math

Chargement 0%
Aucun texte alternatif disponible.

Confirmer?


Photo de Classi.tn
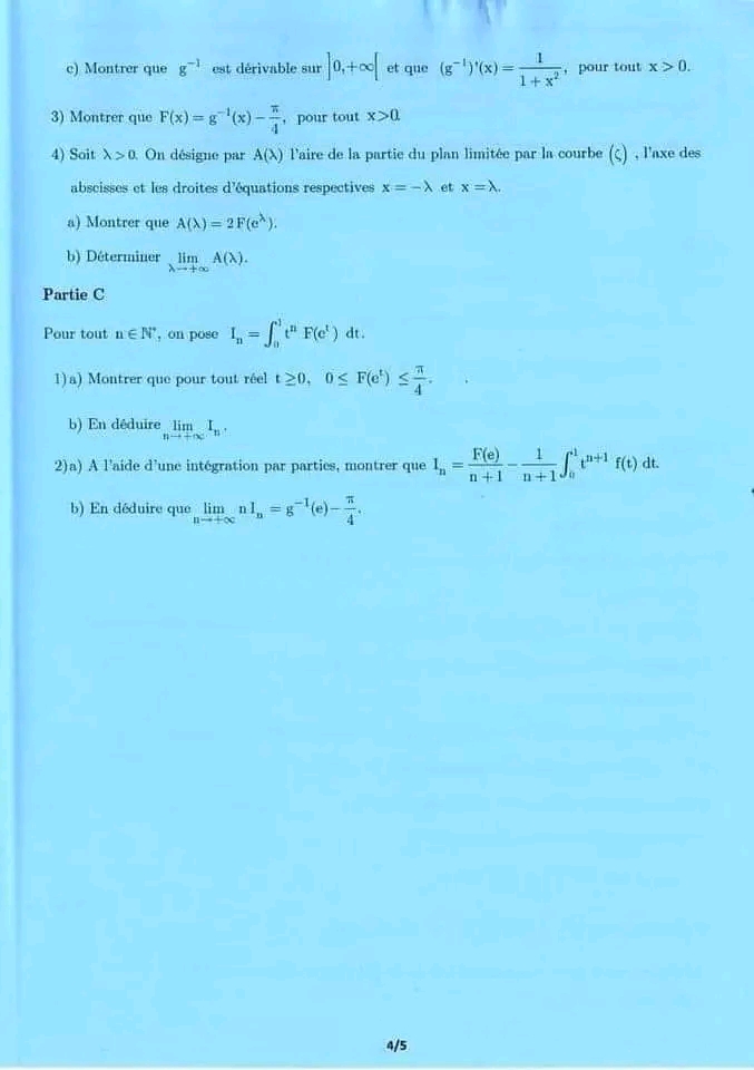
Corrigé de l'épreuve de maths (Bac maths) session de contrôle 2022
Proposée par Mr Salah Hannachi
Preview
8074_1.jpg
0
Preview
8074_10.jpg
0
Preview
8074_11.jpg
0
Preview
8074_12.jpg
0
Preview
8074_13.jpg
0
Preview
8074_2.jpg
0
Preview
8074_3.jpg
0
Preview
8074_4.jpg
0
Preview
8074_5.jpg
0
Preview
8074_6.jpg
0
Preview
8074_7.jpg
0
Preview
8074_8.jpg
0
Preview
8074_9.jpg
0

Notre chaîne Classi.tn ❤️

Rejoignez notre communauté sur Messenger pour ne rien rater de nos actualités, astuces et contenus exclusifs !

Messenger
Classi.tn - Plateforme éducative tunisienne
Rejoindre la chaîne
Communauté active
Notifications exclusives
Contenus éducatifs