Chatbox

Bac math

Chargement 0%
Aucun texte alternatif disponible.

Confirmer?


Photo de Classi.tn
Niveau bac
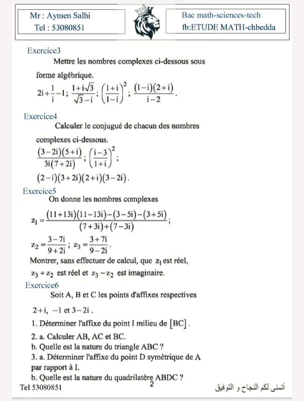
Nombres complexes
Preview
7912_1.jpg
0
Preview
7912_2.jpg
0
Preview
7912_3.jpg
0
Preview
7912_4.jpg
0
Preview
7912_5.jpg
0
Preview
7912_6.jpg
0

Notre chaîne Classi.tn ❤️

Rejoignez notre communauté sur Messenger pour ne rien rater de nos actualités, astuces et contenus exclusifs !

Messenger
Classi.tn - Plateforme éducative tunisienne
Rejoindre la chaîne
Communauté active
Notifications exclusives
Contenus éducatifs