Bac math -sciences-tech
Chapitre 1: limite et continuité
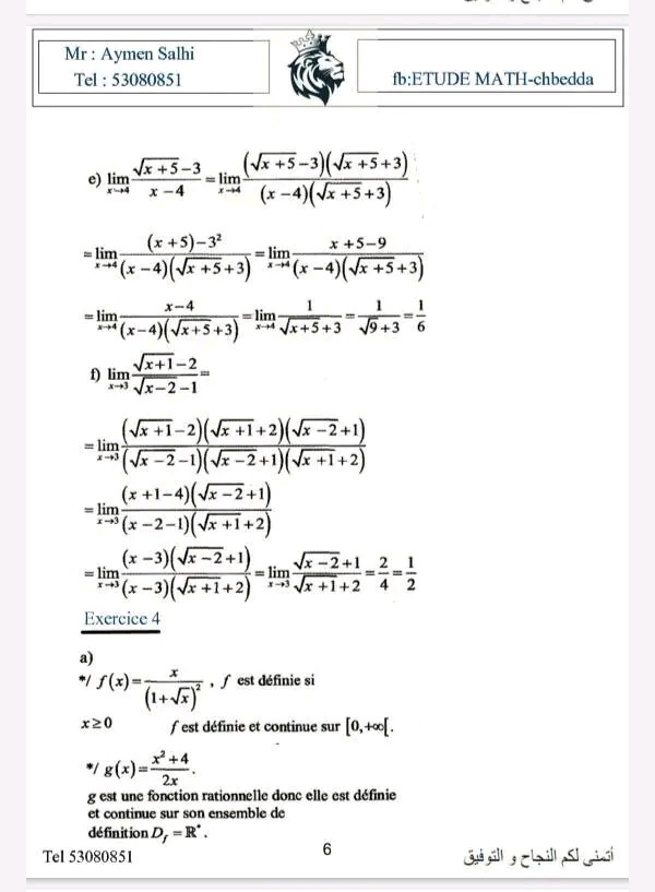
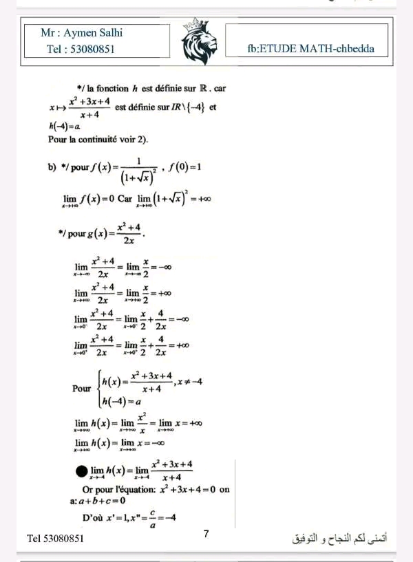
Série d'exercices corrigé
Chapitre 1: limite et continuité
Série d'exercices corrigé







Rejoignez notre communauté sur Messenger pour ne rien rater de nos actualités, astuces et contenus exclusifs !