Chatbox
Bac math
Ajouter des photos
Chargement
0%
classi.tn
Connexion
Confirmer?
Supprimer
Annuler
+
Créer une publication
Bac math
Forum Bac Math
Math
Physique
Sciences SVT
Informatique
عربية
فلسفة
Français
English
Espagnol
Italien
Allemand
Membres
Math ( 252 )
Voir Tout
Bac math
Annuler
Enregistrer
Rejoindre classe
Annuler
Enregistrer
Classi.tn
2023-06-29 • 14:08
Math
⋯
Ouvrir dans un nouvel onglet
Copier lien
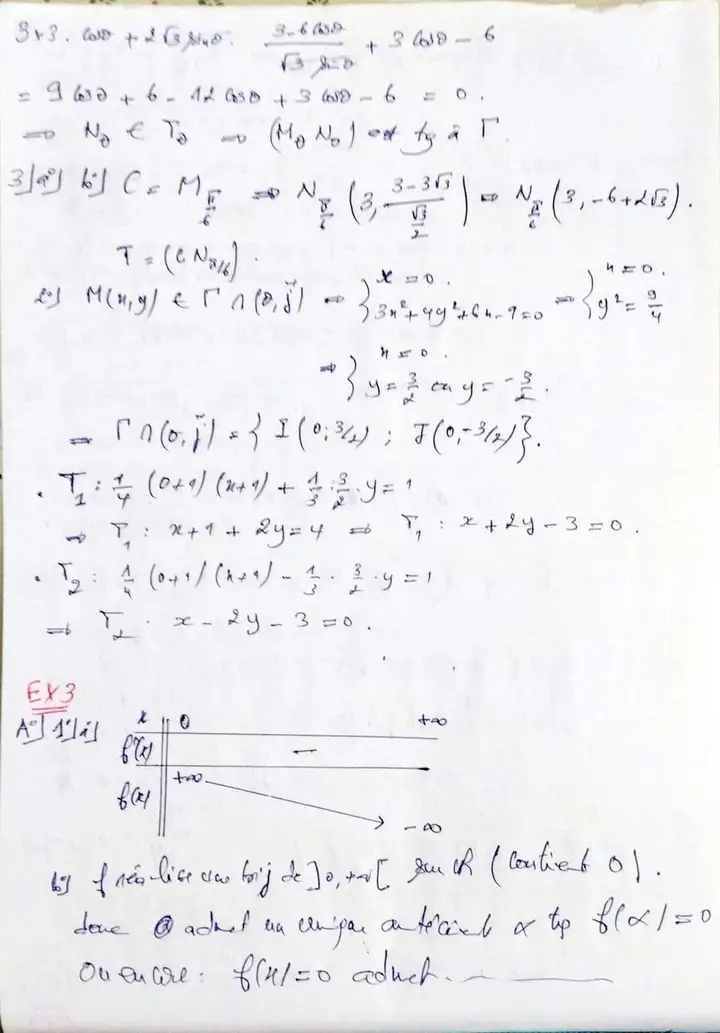
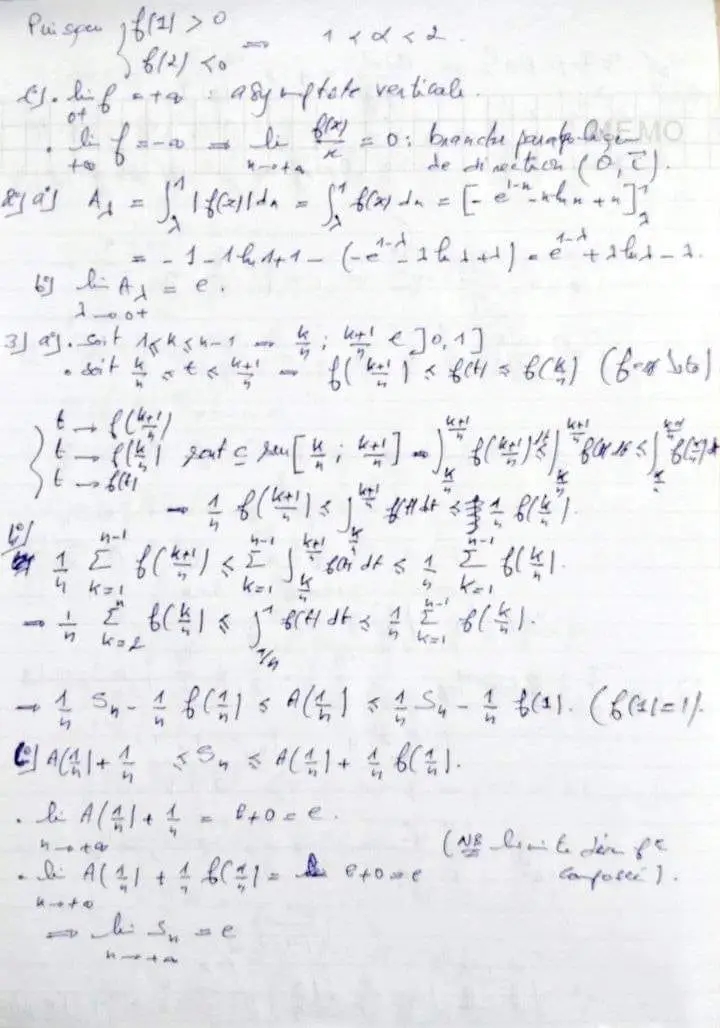
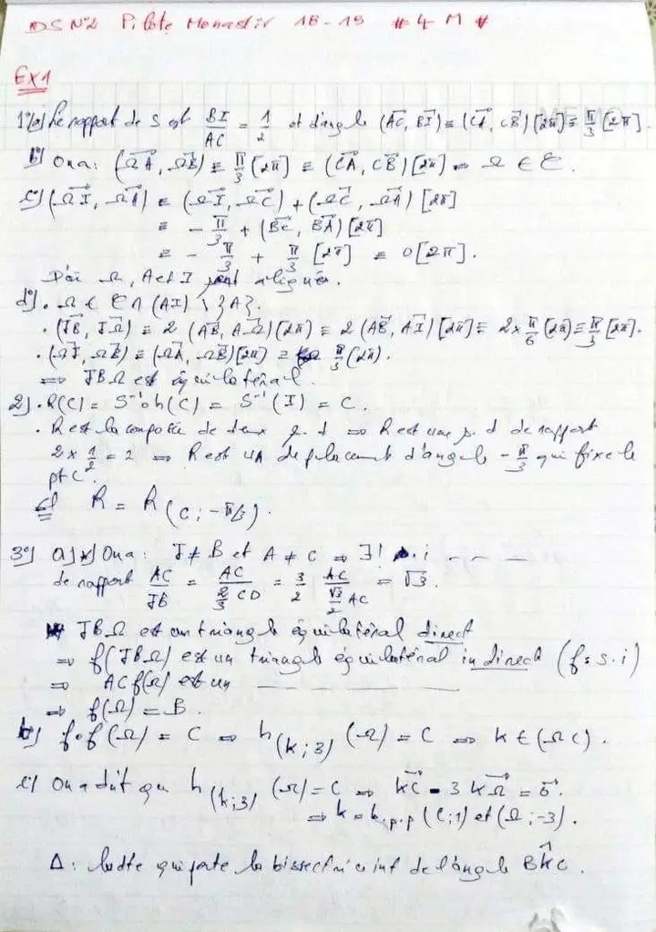
Devoir de synthèse n°1 mathematique avec correction
المشتركون والأعضاء الفاعلة في الموقع لهم أولوية التحميل، لكن يمكنك الانتظار 20 ثانية
اشترك الان
27315_1.jpg
20
Télécharger
27315_10.jpg
20
Télécharger
27315_2.jpg
20
Télécharger
27315_3.jpg
20
Télécharger
27315_4.jpg
20
Télécharger
27315_5.jpg
20
Télécharger
27315_6.jpg
20
Télécharger
27315_7.jpg
20
Télécharger
27315_8.jpg
20
Télécharger
27315_9.jpg
20
Télécharger
📄
Télécharger le PDF
0