Chatbox
Bac math
Ajouter des photos
Chargement
0%
classi.tn
Connexion
Confirmer?
Supprimer
Annuler
+
Créer une publication
Bac math
Forum Bac Math
Math
Physique
Sciences SVT
Informatique
عربية
فلسفة
Français
English
Espagnol
Italien
Allemand
Membres
Math ( 252 )
Voir Tout
Bac math
Annuler
Enregistrer
Rejoindre classe
Annuler
Enregistrer
Mesfar Nejah
2024-09-05 • 11:36
Math
⋯
Ouvrir dans un nouvel onglet
Copier lien
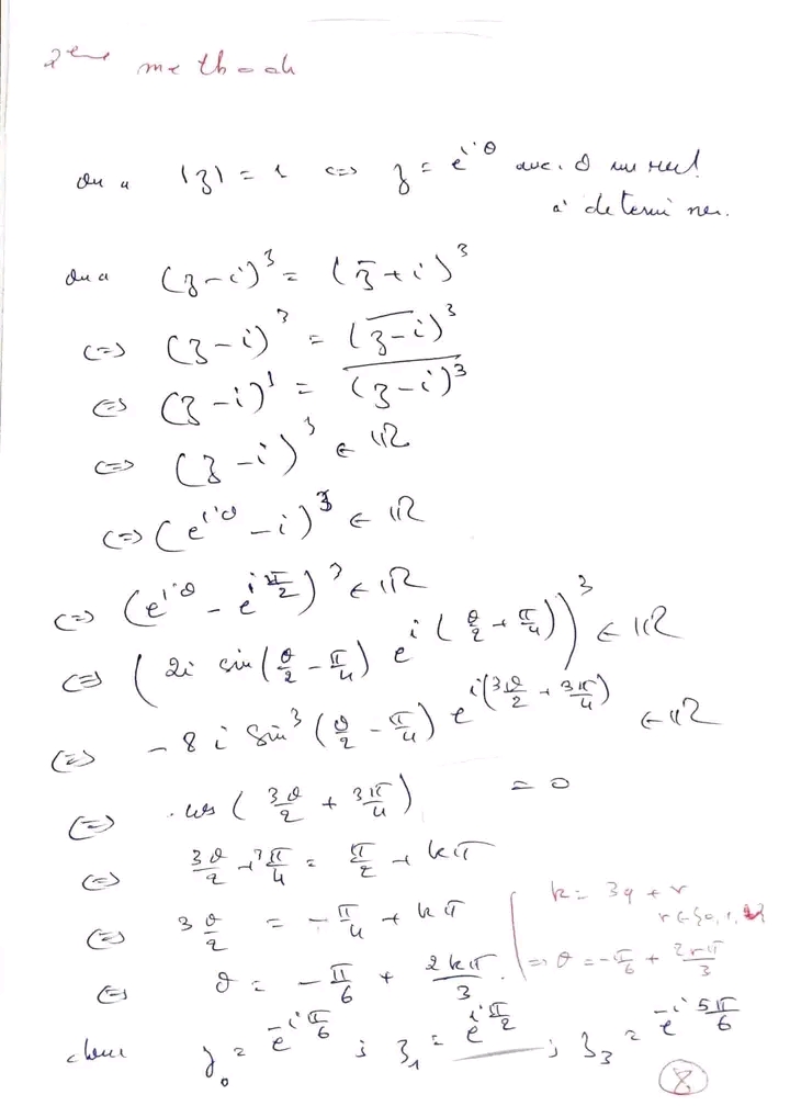
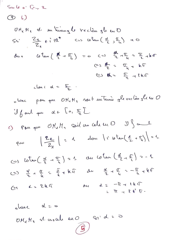
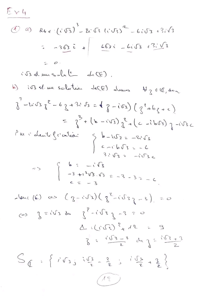
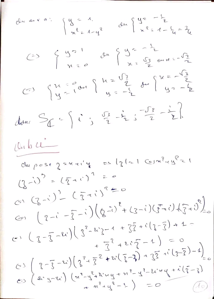
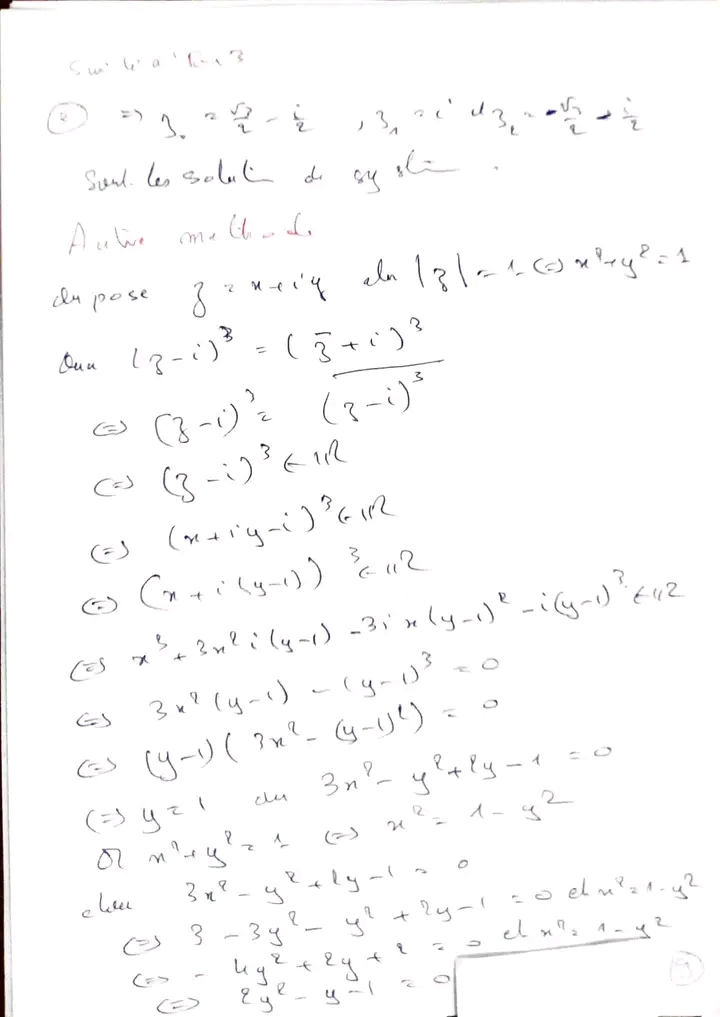
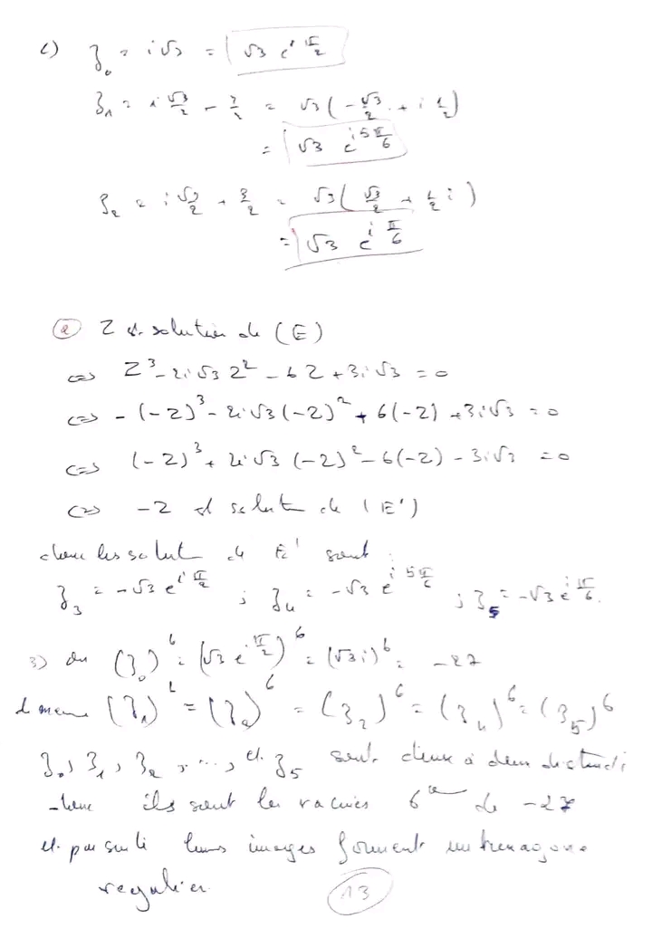
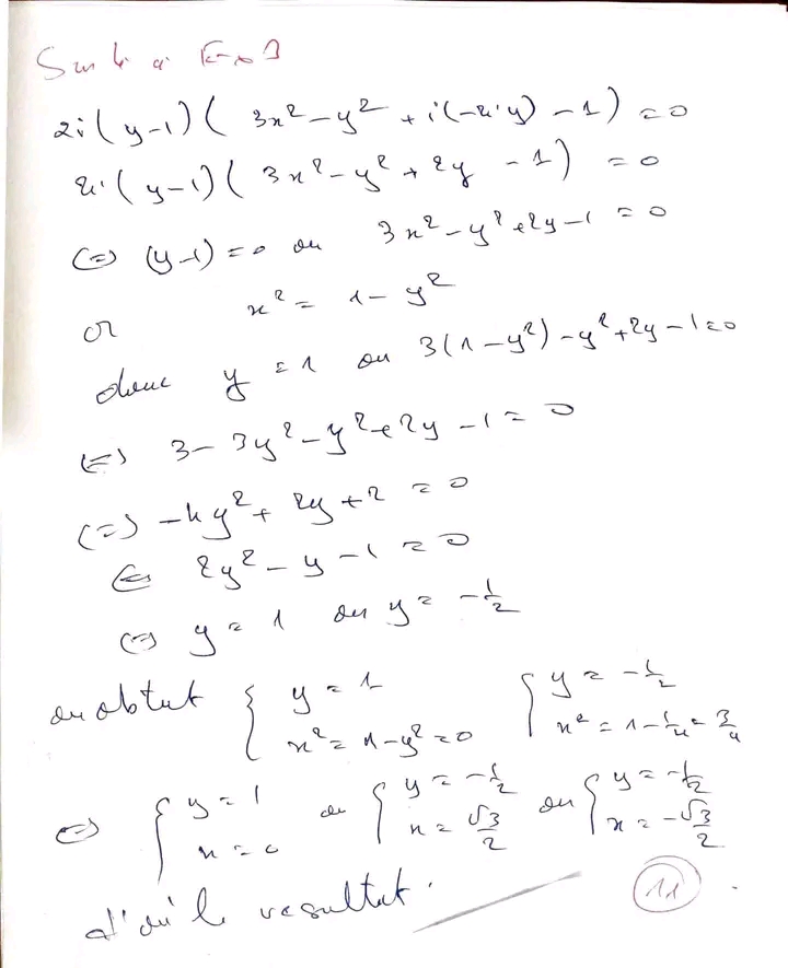
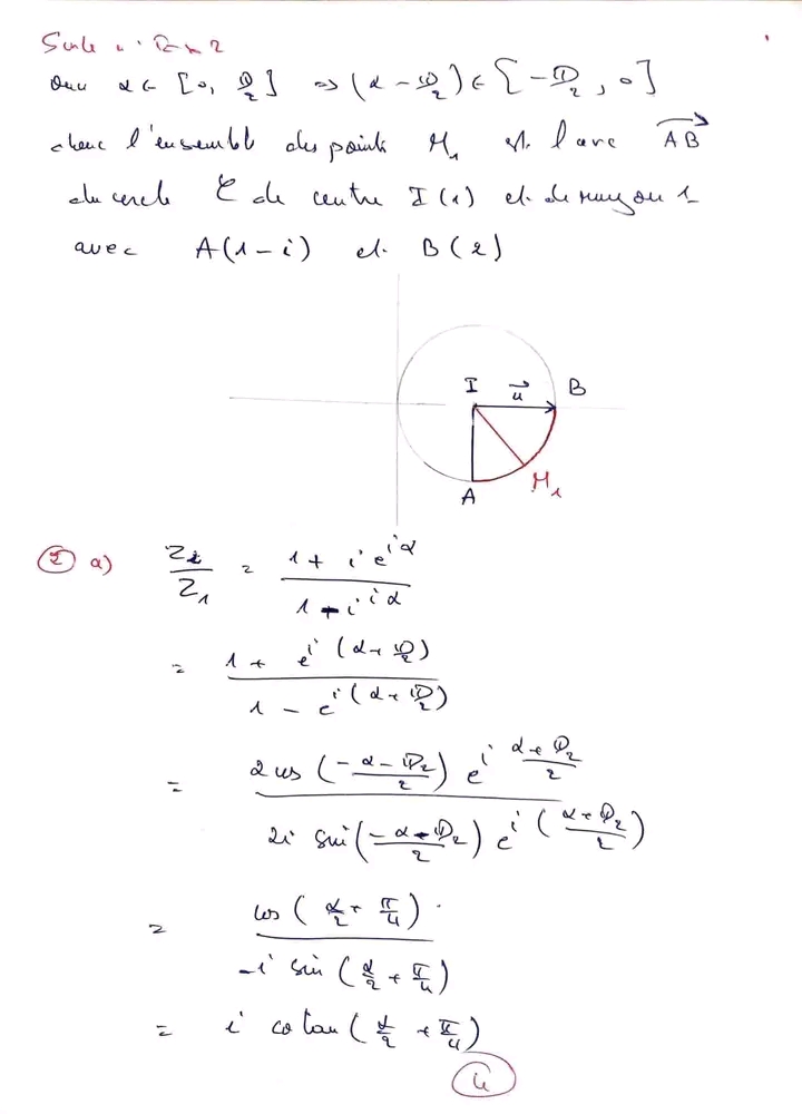
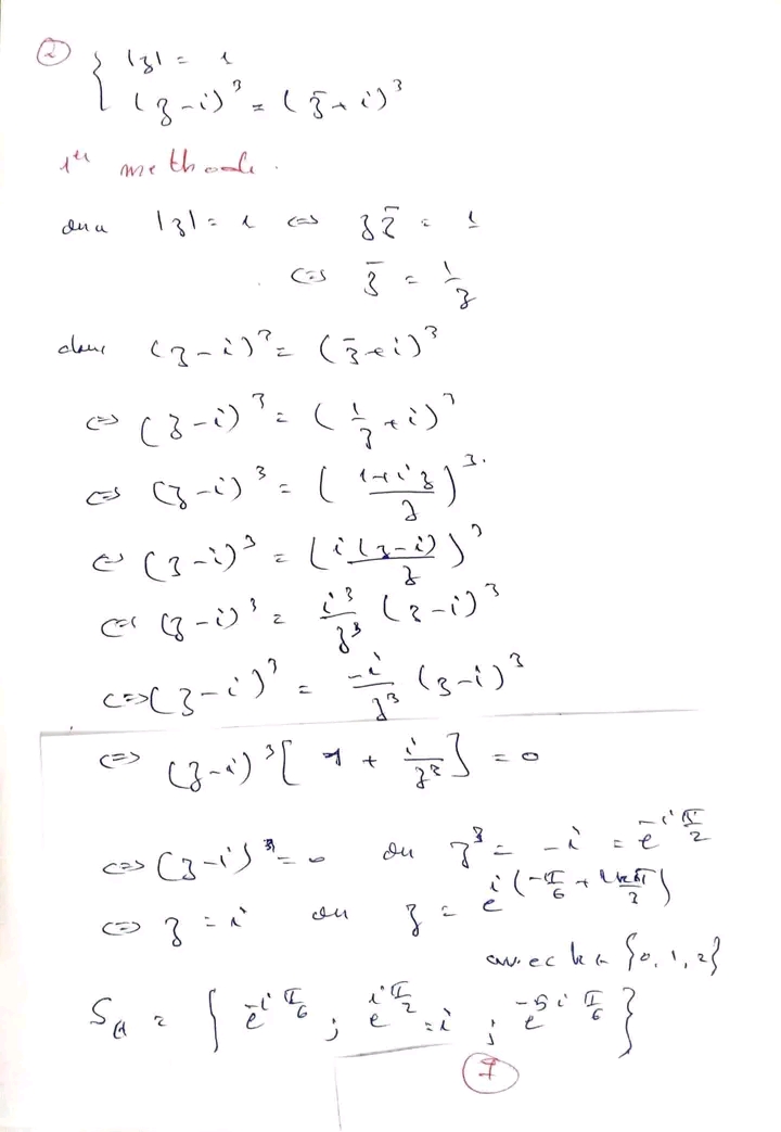
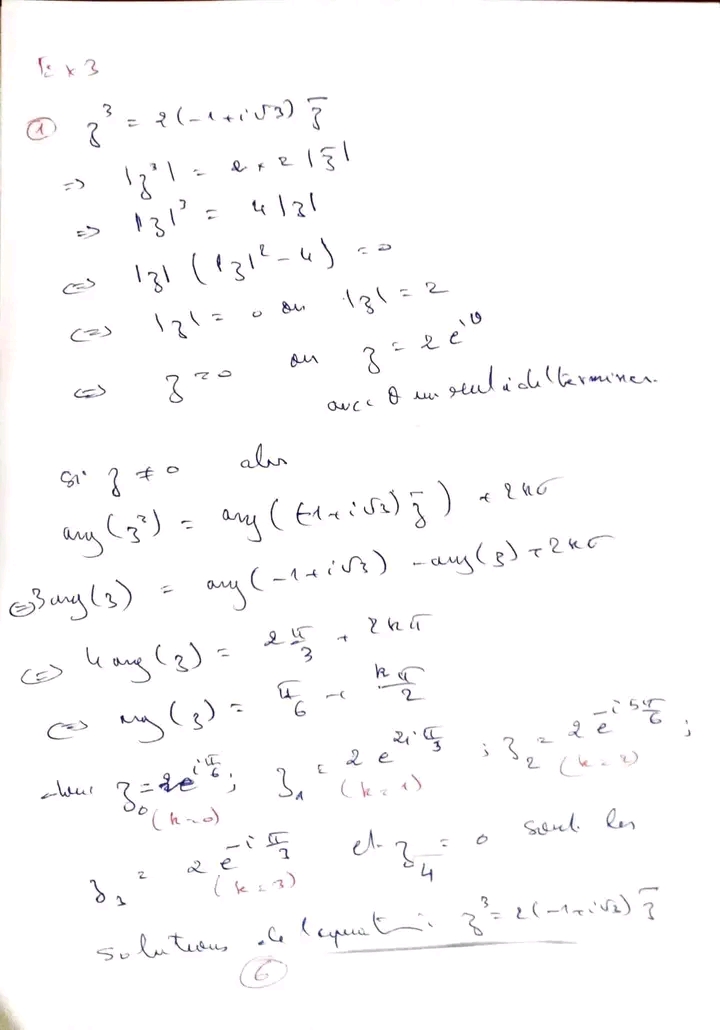
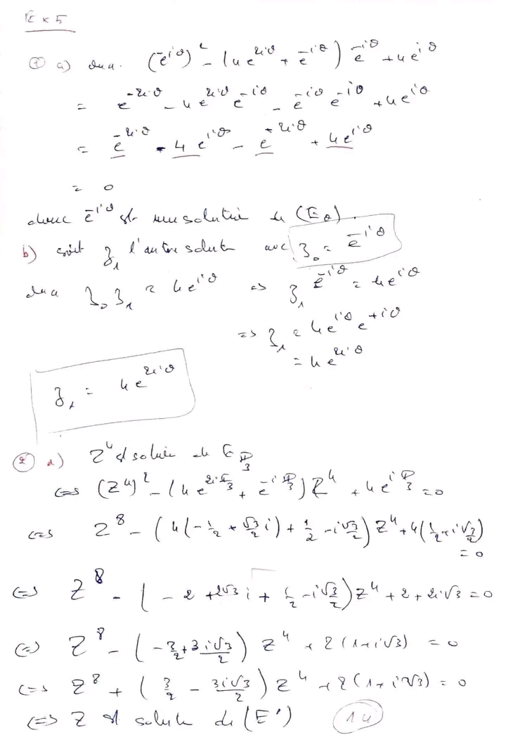
pour les élèves du baccalauréat. Correction d’une série d’exercices sur le thème des nombres complexes.PILOTE DE SFAX .
المشتركون والأعضاء الفاعلة في الموقع لهم أولوية التحميل، لكن يمكنك الانتظار 20 ثانية
اشترك الان
1030357_10.jpg
20
Télécharger
1030357_11.jpg
20
Télécharger
1030357_12.jpg
20
Télécharger
1030357_13.jpg
20
Télécharger
1030357_14.jpg
20
Télécharger
1030357_15.jpg
20
Télécharger
1030357_16.jpg
20
Télécharger
1030357_17.jpg
20
Télécharger
1030357_18.jpg
20
Télécharger
1030357_2.jpg
20
Télécharger
1030357_3.jpg
20
Télécharger
1030357_4.jpg
20
Télécharger
1030357_5.jpg
20
Télécharger
1030357_6.jpg
20
Télécharger
1030357_9.jpg
20
Télécharger
📄
Télécharger le PDF
0