Chatbox
Bac math
Ajouter des photos
Chargement
0%
classi.tn
Connexion
Confirmer?
Supprimer
Annuler
+
Créer une publication
Bac math
Forum Bac Math
Math
Physique
Sciences SVT
Informatique
عربية
فلسفة
Français
English
Espagnol
Italien
Allemand
Membres
Math ( 252 )
Voir Tout
Bac math
Annuler
Enregistrer
Rejoindre classe
Annuler
Enregistrer
Mesfar Nejah
2024-07-26 • 22:37
Math
⋯
Ouvrir dans un nouvel onglet
Copier lien
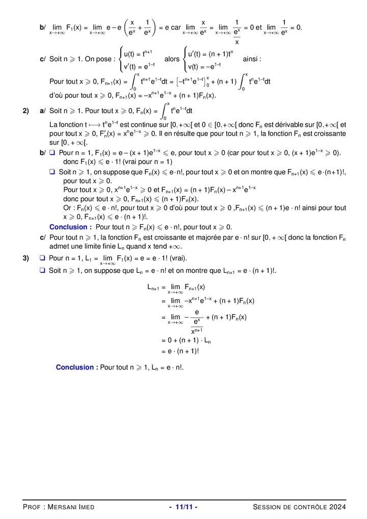
bac math session de contrôle 2024.
المشتركون والأعضاء الفاعلة في الموقع لهم أولوية التحميل، لكن يمكنك الانتظار 20 ثانية
اشترك الان
1029826_1.jpg
20
Télécharger
1029826_10.jpg
20
Télécharger
1029826_11.jpg
20
Télécharger
1029826_2.jpg
20
Télécharger
1029826_3.jpg
20
Télécharger
1029826_4.jpg
20
Télécharger
1029826_5.jpg
20
Télécharger
1029826_6.jpg
20
Télécharger
1029826_7.jpg
20
Télécharger
1029826_8.jpg
20
Télécharger
1029826_9.jpg
20
Télécharger
📄
Télécharger le PDF
0