Chatbox
Bac math
Ajouter des photos
Chargement
0%
classi.tn
Connexion
Confirmer?
Supprimer
Annuler
+
Créer une publication
Bac math
Forum Bac Math
Math
Physique
Sciences SVT
Informatique
عربية
فلسفة
Français
English
Espagnol
Italien
Allemand
Membres
Math ( 252 )
Voir Tout
Bac math
Annuler
Enregistrer
Rejoindre classe
Annuler
Enregistrer
Mesfar Nejah
2024-05-10 • 09:41
Math
⋯
Ouvrir dans un nouvel onglet
Copier lien
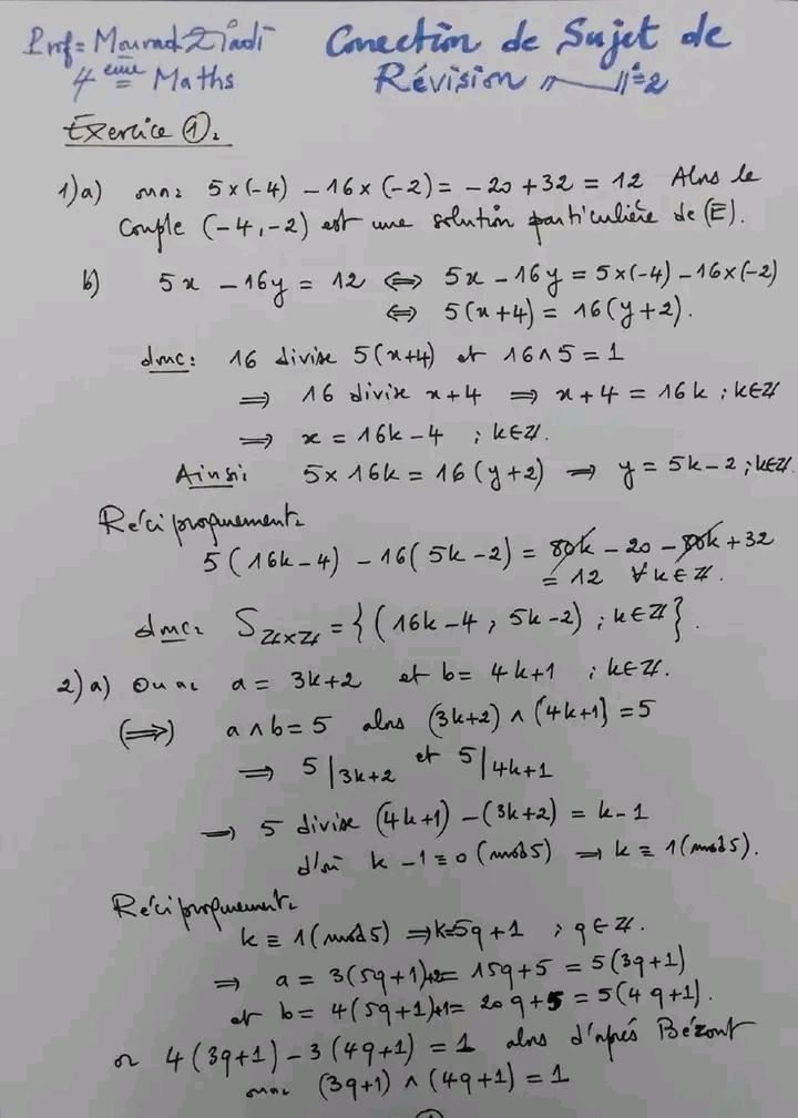
Sujet de Révision Bac Blanc Mathematique Correction
Merci à l'auteur de ce travail
المشتركون والأعضاء الفاعلة في الموقع لهم أولوية التحميل، لكن يمكنك الانتظار 20 ثانية
اشترك الان
1025976_1.jpg
20
Télécharger
1025976_10.jpg
20
Télécharger
1025976_11.jpg
20
Télécharger
1025976_12.jpg
20
Télécharger
1025976_13.jpg
20
Télécharger
1025976_2.jpg
20
Télécharger
1025976_3.jpg
20
Télécharger
1025976_4.jpg
20
Télécharger
1025976_5.jpg
20
Télécharger
1025976_6.jpg
20
Télécharger
1025976_7.jpg
20
Télécharger
1025976_8.jpg
20
Télécharger
1025976_9.jpg
20
Télécharger
📄
Télécharger le PDF
0