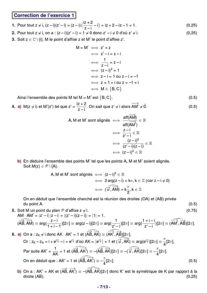
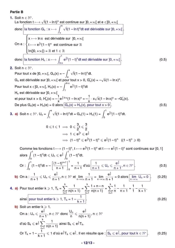
Bac Maths
Examen du Baccalauréat avec correction
Session Principale 2023
Imed Mersani
Examen du Baccalauréat avec correction
Session Principale 2023
Imed Mersani













Rejoignez notre communauté sur Messenger pour ne rien rater de nos actualités, astuces et contenus exclusifs !