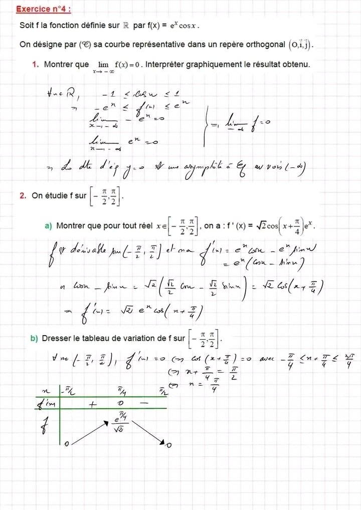
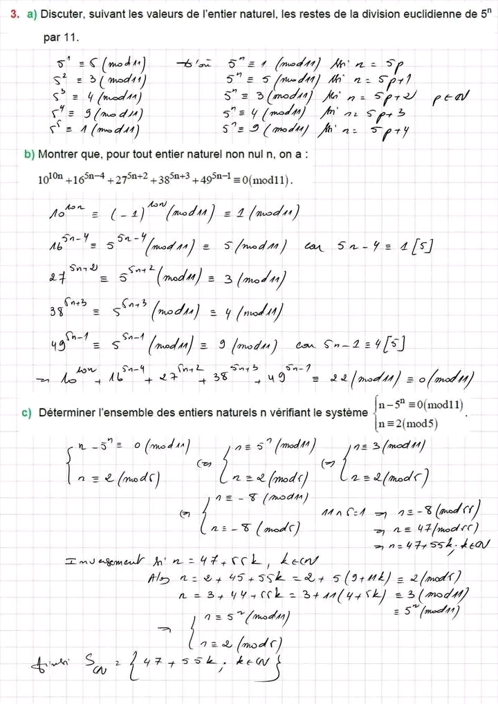
Super-magnifique Devoir de contrôle N°3 pour 4ème Maths avec excellente correction détaillée 2023/2024
International School of Elite
Mr Abdelbasset Laataoui
International School of Elite
Mr Abdelbasset Laataoui














Rejoignez notre communauté sur Messenger pour ne rien rater de nos actualités, astuces et contenus exclusifs !