Chatbox
7ème pilote سابعة نموذجي
Ajouter des photos
Chargement
0%
classi.tn
Connexion
Confirmer?
Supprimer
Annuler
+
Créer une publication
7ème pilote سابعة نموذجي
منتدى السابعة نموذجي
عربية
Français
English
رياضيات
Physique
تربية تكنولوجية
علوم الحياة والأرض
Informatique
ت.إسلامية
ت.مدنية
تاريخ
جغرافيا
موسيقى
لغة
Membres
رياضيات ( 67 )
Voir Tout
7ème pilote سابعة نموذجي
Annuler
Enregistrer
Rejoindre classe
Annuler
Enregistrer
Classi.tn
2023-04-07 • 08:21
رياضيات
⋯
Ouvrir dans un nouvel onglet
Copier lien
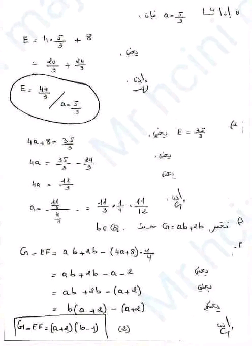
فرض مراقبة عدد 5 مستوى 7 أساسي نموذجي مدنين أفريل 2022 مع الإصلاح
المشتركون والأعضاء الفاعلة في الموقع لهم أولوية التحميل، لكن يمكنك الانتظار 20 ثانية
اشترك الان
22263_1.jpg
20
Télécharger
22263_2.jpg
20
Télécharger
22263_4.jpg
20
Télécharger
22263_5.jpg
20
Télécharger
22263_6.jpg
20
Télécharger
22263_7.jpg
20
Télécharger
📄
Télécharger le PDF
0