Chatbox
7ème pilote سابعة نموذجي
Ajouter des photos
Chargement
0%
classi.tn
Connexion
Confirmer?
Supprimer
Annuler
+
Créer une publication
7ème pilote سابعة نموذجي
منتدى السابعة نموذجي
عربية
Français
English
رياضيات
Physique
تربية تكنولوجية
علوم الحياة والأرض
Informatique
ت.إسلامية
ت.مدنية
تاريخ
جغرافيا
موسيقى
لغة
Membres
رياضيات ( 67 )
Voir Tout
7ème pilote سابعة نموذجي
Annuler
Enregistrer
Rejoindre classe
Annuler
Enregistrer
Mesfar Nejah
2024-11-04 • 22:34
رياضيات
⋯
Ouvrir dans un nouvel onglet
Copier lien
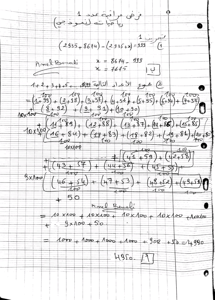
اصلاح فرض مراقبة 1 ( نموذجي) سنة سابعة أساسي
المشتركون والأعضاء الفاعلة في الموقع لهم أولوية التحميل، لكن يمكنك الانتظار 20 ثانية
اشترك الان
1730755988820.jpg
20
Télécharger
1730755990637.jpg
20
Télécharger
1730755992492.jpg
20
Télécharger
1730755994131.jpg
20
Télécharger
1730755995860.jpg
20
Télécharger
1730755997531.jpg
20
Télécharger
📄
Télécharger le PDF
0