Chatbox

7ème pilote سابعة نموذجي

Chargement 0%
Aucun texte alternatif disponible.

Confirmer?


Photo de Classi.tn
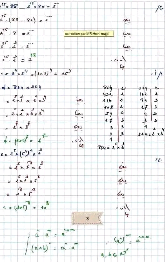
فرض مراقبة عدد 2 رياضيات بالإصلاح سابعة أساسي

Preview
10176_1.jpg
0
Preview
10176_2.jpg
0
Preview
10176_3.jpg
0
Preview
10176_4.jpg
0
Preview
10176_5.jpg
0
Preview
10176_6.jpg
0

Notre chaîne Classi.tn ❤️

Rejoignez notre communauté sur Messenger pour ne rien rater de nos actualités, astuces et contenus exclusifs !

Messenger
Classi.tn - Plateforme éducative tunisienne
Rejoindre la chaîne
Communauté active
Notifications exclusives
Contenus éducatifs