Chatbox
2 ème Technologie de l'informatique
Ajouter des photos
Chargement
0%
classi.tn
Connexion
Confirmer?
Supprimer
Annuler
+
Créer une publication
2 ème Technologie de l'informatique
Forum 2 TIC
عربية
ت.إسلامية
تربية مدنية
التاريخ
الجغرافيا
English
Français
Informatique
Math
Physique
Technologie
Membres
Math ( 38 )
2 ème Technologie de l'informatique
Annuler
Enregistrer
Rejoindre classe
Annuler
Enregistrer
Classi.tn
2023-11-22 • 10:18
Math
⋯
Ouvrir dans un nouvel onglet
Copier lien
2éme année Sciences & info :
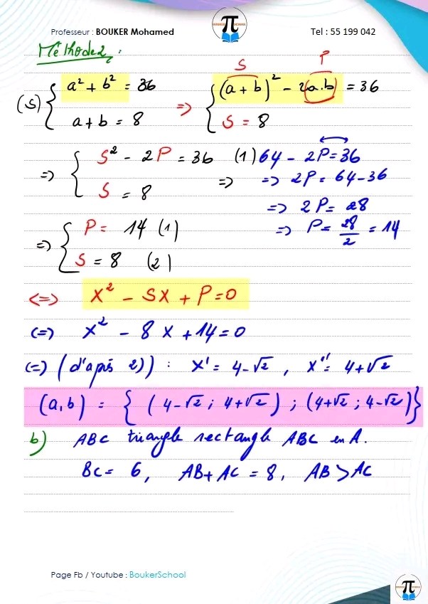
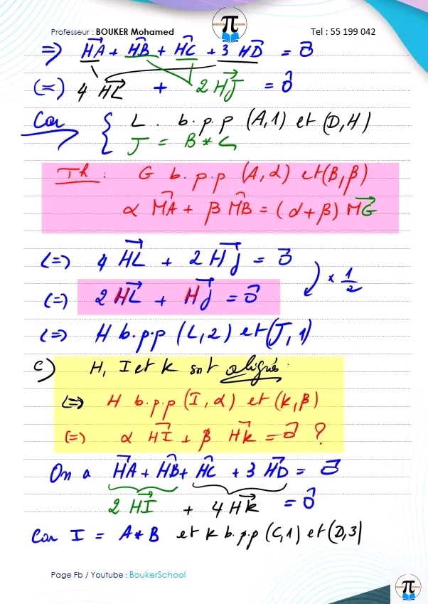
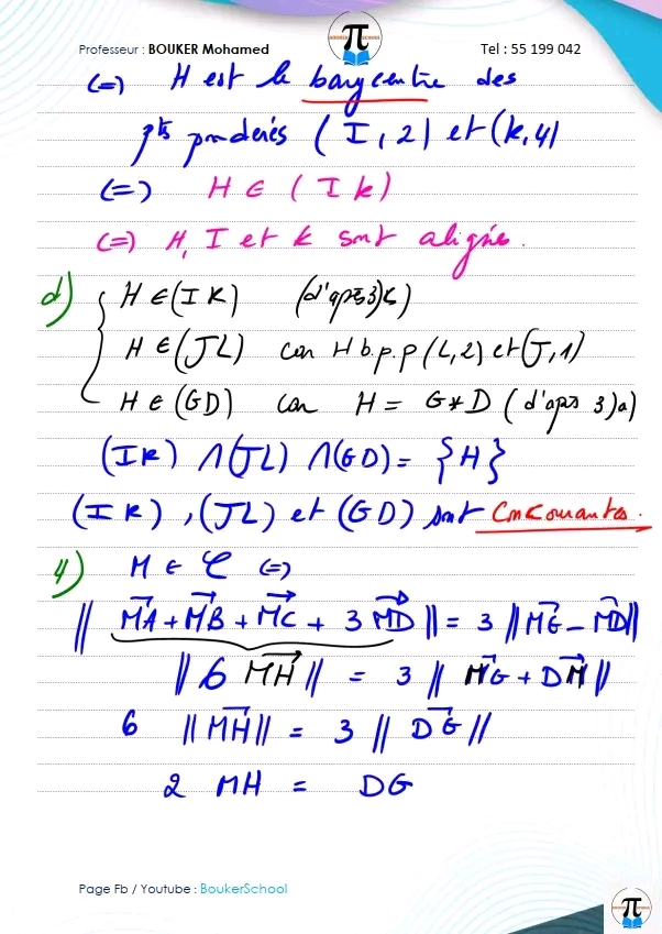
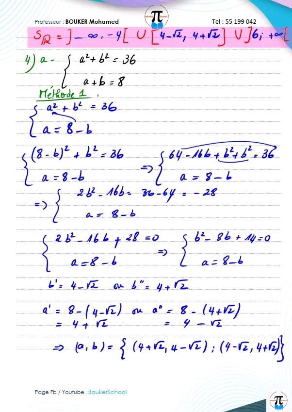
Correction de devoir 2 Math
المشتركون والأعضاء الفاعلة في الموقع لهم أولوية التحميل، لكن يمكنك الانتظار 20 ثانية
اشترك الان
1006039_1.jpg
20
Télécharger
1006039_10.jpg
20
Télécharger
1006039_11.jpg
20
Télécharger
1006039_12.jpg
20
Télécharger
1006039_2.jpg
20
Télécharger
1006039_3.jpg
20
Télécharger
1006039_4.jpg
20
Télécharger
1006039_5.jpg
20
Télécharger
1006039_6.jpg
20
Télécharger
1006039_7.jpg
20
Télécharger
1006039_8.jpg
20
Télécharger
1006039_9.jpg
20
Télécharger
📄
Télécharger le PDF
0