Chatbox
9ème pilote تاسعة نموذجي
Ajouter des photos
Chargement
0%
classi.tn
Connexion
Confirmer?
Supprimer
Annuler
+
Créer une publication
9ème pilote تاسعة نموذجي
منتدى التاسعة
عربية
Français
English
رياضيات
فيزياء
ت.تكنولوجية
علوم الحياة والأرض
Informatique
ت.إسلامية
ت.مدنية
تاريخ
جغرافيا
لغة
Membres
Math ( 77 )
Voir Tout
9ème pilote تاسعة نموذجي
Annuler
Enregistrer
Rejoindre classe
Annuler
Enregistrer
Classi.tn
2022-09-25 • 19:55
Math
⋯
Ouvrir dans un nouvel onglet
Copier lien
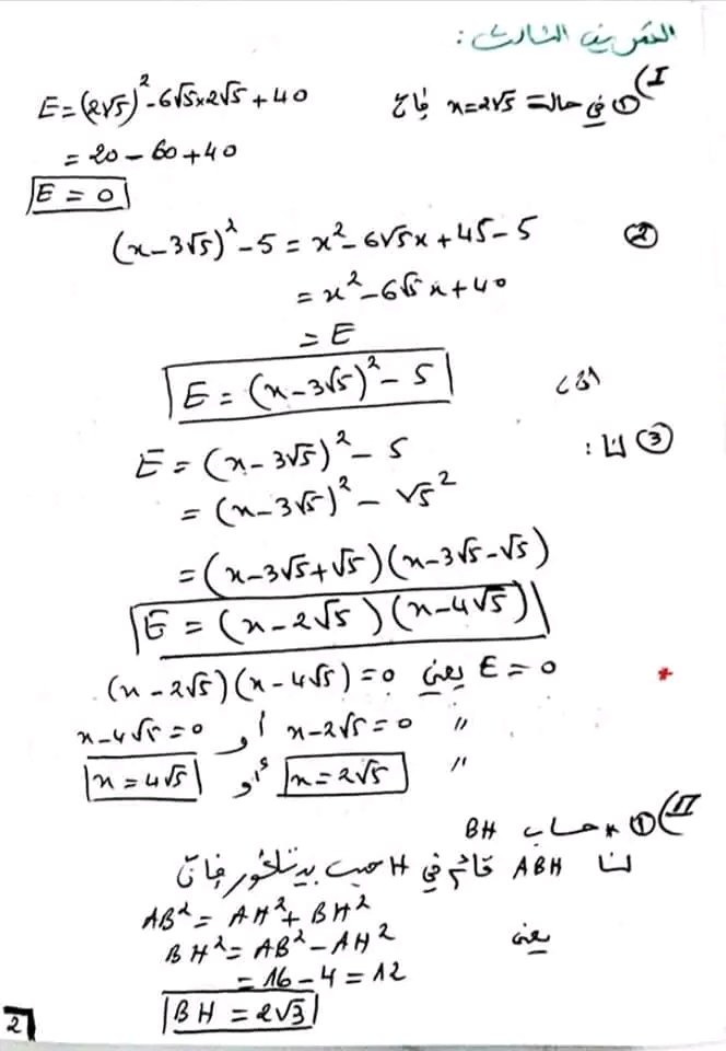
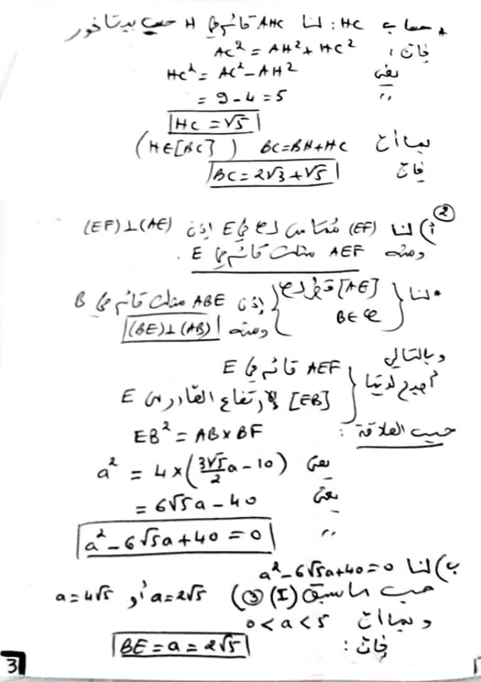
فرض المراقبة عدد:1 في الرياضيات تاسعة نموذجي 1 بقابس الفترة الثانية , مرفق بالإصلاح ،
المشتركون والأعضاء الفاعلة في الموقع لهم أولوية التحميل، لكن يمكنك الانتظار 20 ثانية
اشترك الان
9533_1.jpg
20
Télécharger
9533_2.jpg
20
Télécharger
9533_3.jpg
20
Télécharger
9533_4.jpg
20
Télécharger
9533_5.jpg
20
Télécharger
📄
Télécharger le PDF
0