Chatbox
9ème pilote تاسعة نموذجي
Ajouter des photos
Chargement
0%
classi.tn
Connexion
Confirmer?
Supprimer
Annuler
+
Créer une publication
9ème pilote تاسعة نموذجي
منتدى التاسعة
عربية
Français
English
رياضيات
فيزياء
ت.تكنولوجية
علوم الحياة والأرض
Informatique
ت.إسلامية
ت.مدنية
تاريخ
جغرافيا
لغة
Membres
Math ( 77 )
Voir Tout
9ème pilote تاسعة نموذجي
Annuler
Enregistrer
Rejoindre classe
Annuler
Enregistrer
Classi.tn
2022-02-25 • 08:25
Math
⋯
Ouvrir dans un nouvel onglet
Copier lien
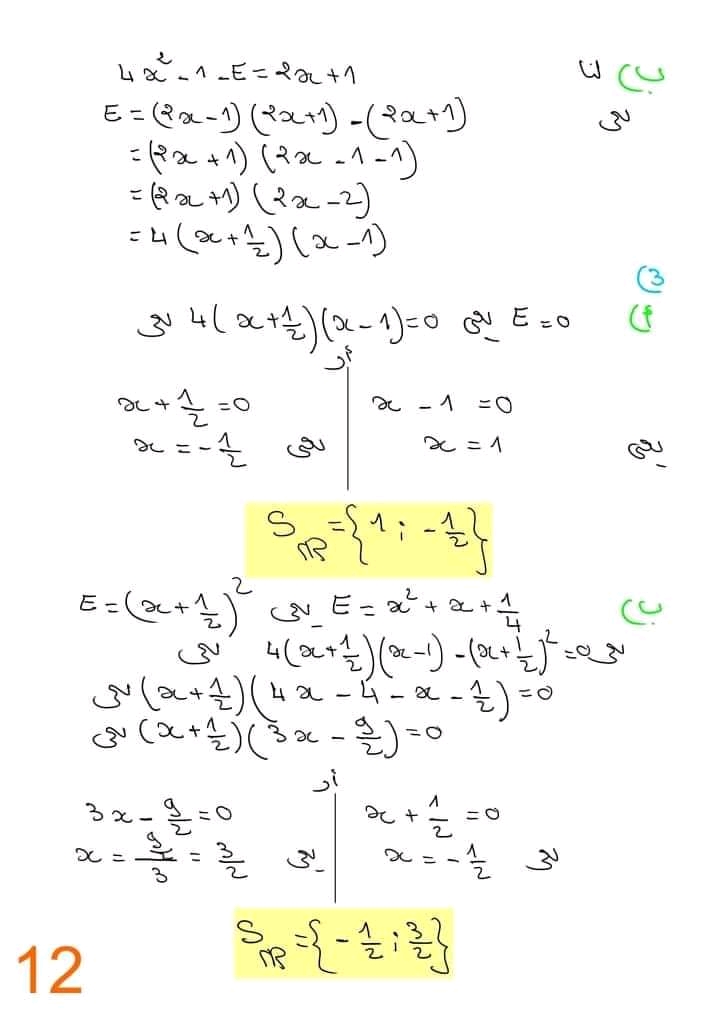
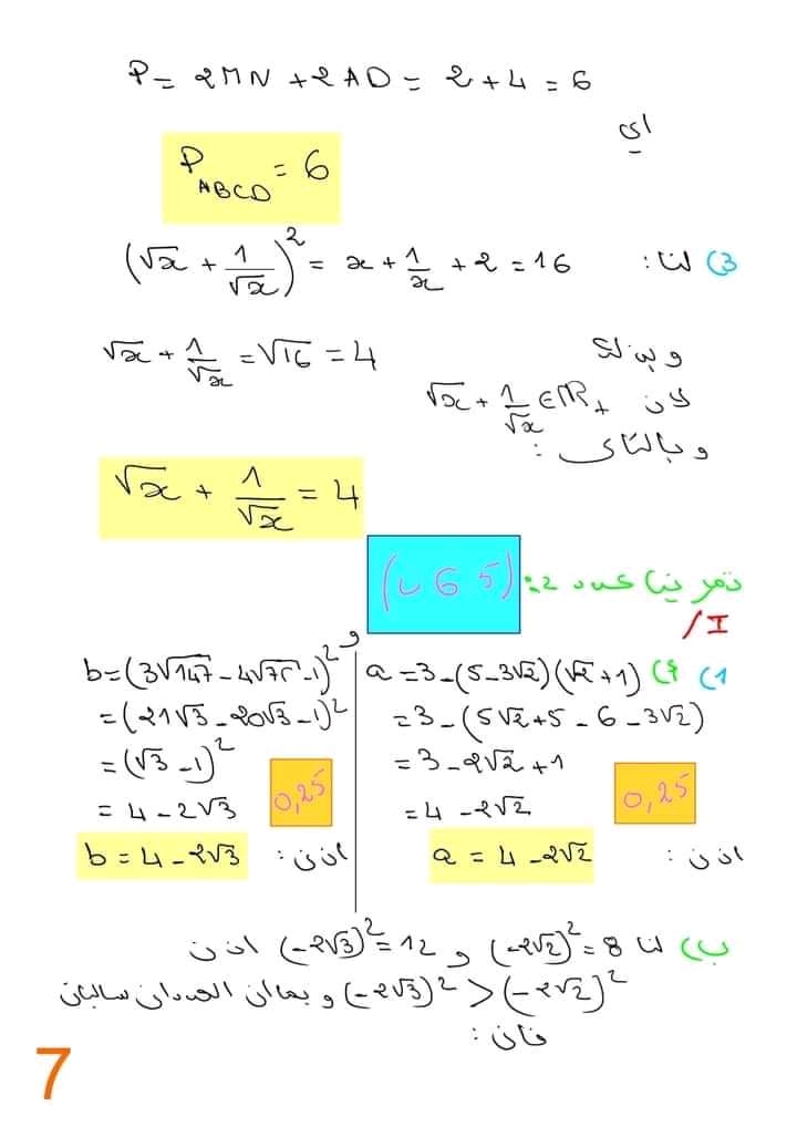
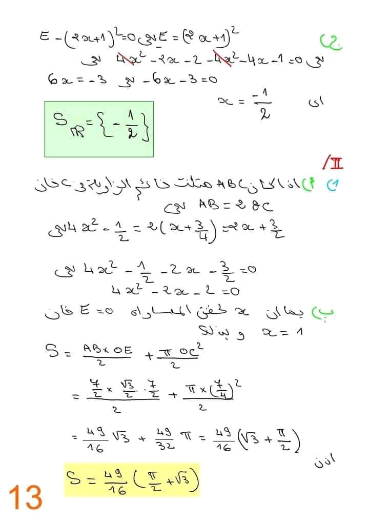
فرض تاليفي عدد 2 رياضيات بالاصلاح
تاسعة اساسي نموذجي
المشتركون والأعضاء الفاعلة في الموقع لهم أولوية التحميل، لكن يمكنك الانتظار 20 ثانية
اشترك الان
4163_1.jpg
20
Télécharger
4163_10.jpg
20
Télécharger
4163_11.jpg
20
Télécharger
4163_12.jpg
20
Télécharger
4163_13.jpg
20
Télécharger
4163_14.jpg
20
Télécharger
4163_2.jpg
20
Télécharger
4163_3.jpg
20
Télécharger
4163_4.jpg
20
Télécharger
4163_5.jpg
20
Télécharger
4163_6.jpg
20
Télécharger
4163_7.jpg
20
Télécharger
4163_8.jpg
20
Télécharger
4163_9.jpg
20
Télécharger
📄
Télécharger le PDF
0