Chatbox
9ème pilote تاسعة نموذجي
Ajouter des photos
Chargement
0%
classi.tn
Connexion
Confirmer?
Supprimer
Annuler
+
Créer une publication
9ème pilote تاسعة نموذجي
منتدى التاسعة
عربية
Français
English
رياضيات
فيزياء
ت.تكنولوجية
علوم الحياة والأرض
Informatique
ت.إسلامية
ت.مدنية
تاريخ
جغرافيا
لغة
Membres
Math ( 77 )
Voir Tout
9ème pilote تاسعة نموذجي
Annuler
Enregistrer
Rejoindre classe
Annuler
Enregistrer
Classi.tn
2023-03-01 • 12:32
Math
⋯
Ouvrir dans un nouvel onglet
Copier lien
مناظرة تجريبية
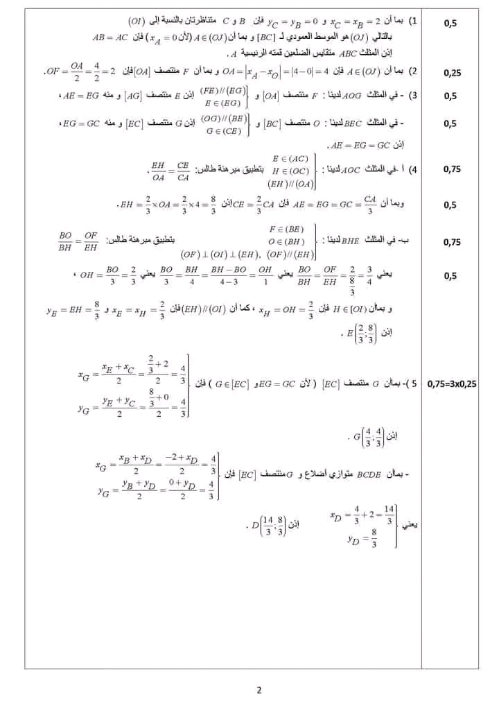
خاصة التمرين الثالث والرابع والخامس
تاسعة اساسي نموذجي
المشتركون والأعضاء الفاعلة في الموقع لهم أولوية التحميل، لكن يمكنك الانتظار 20 ثانية
اشترك الان
19960_1.jpg
20
Télécharger
19960_2.jpg
20
Télécharger
19960_3.jpg
20
Télécharger
19960_4.jpg
20
Télécharger
19960_5.jpg
20
Télécharger
📄
Télécharger le PDF
0