Chatbox
9ème pilote تاسعة نموذجي
Ajouter des photos
Chargement
0%
classi.tn
Connexion
Confirmer?
Supprimer
Annuler
+
Créer une publication
9ème pilote تاسعة نموذجي
منتدى التاسعة
عربية
Français
English
رياضيات
فيزياء
ت.تكنولوجية
علوم الحياة والأرض
Informatique
ت.إسلامية
ت.مدنية
تاريخ
جغرافيا
لغة
Membres
رياضيات ( 35 )
سلسلة عدد 4 مستوى 9 أساسي
فرض مراقبة عدد 5 مستوى 9 أساسي
9ème pilote تاسعة نموذجي
Annuler
Enregistrer
Rejoindre classe
Annuler
Enregistrer
Mesfar Nejah
2024-11-05 • 13:29
رياضيات
⋯
Ouvrir dans un nouvel onglet
Copier lien
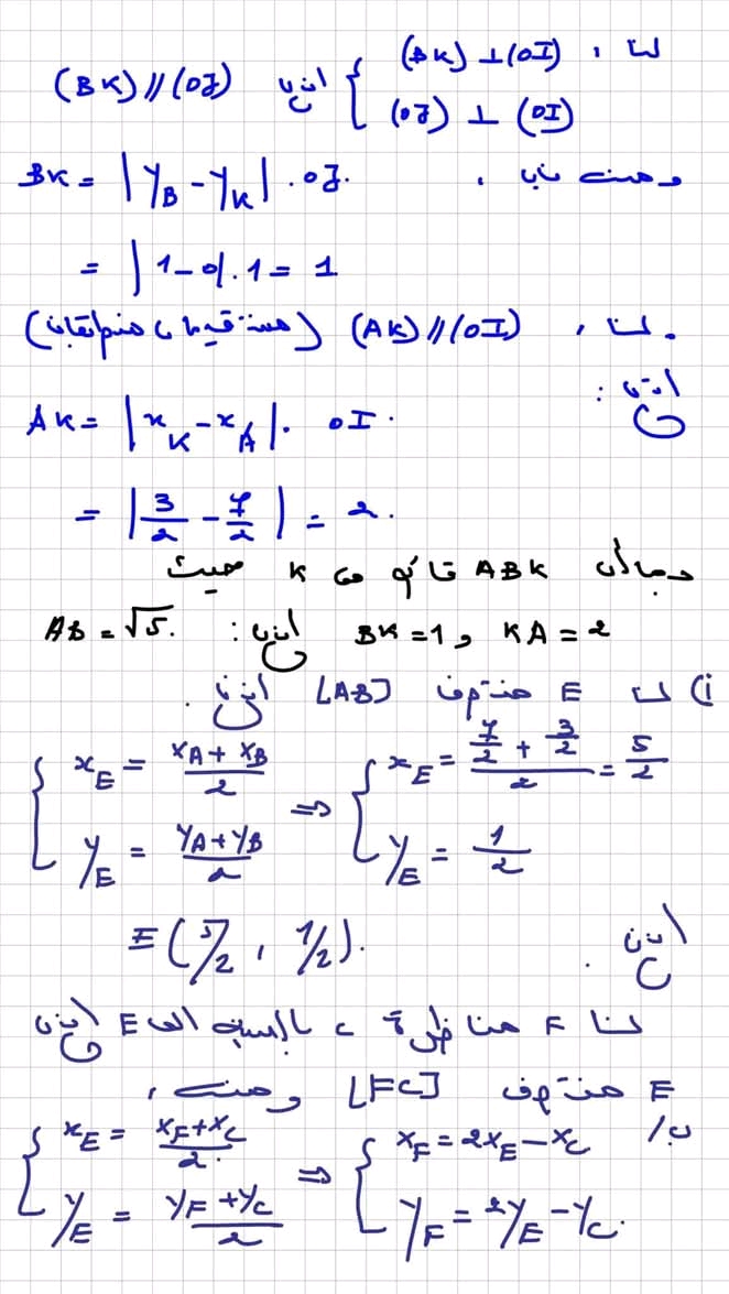
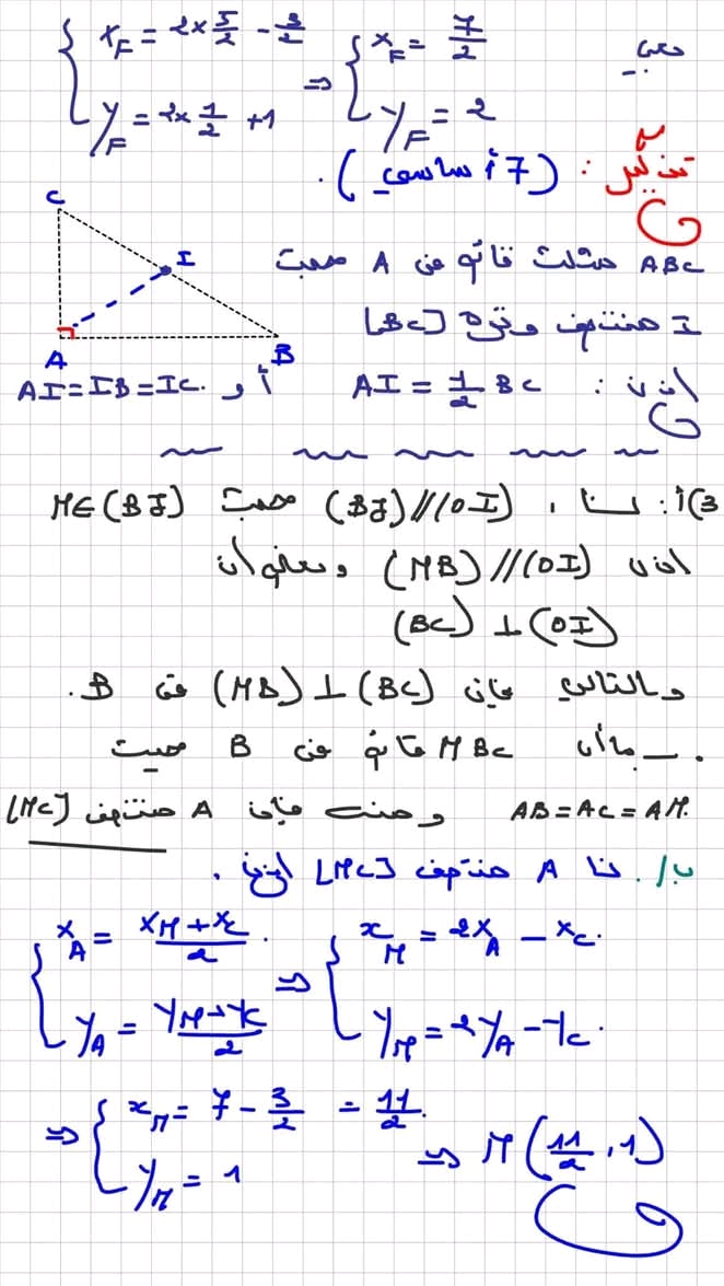
إصلاح فرض نموذجي عدد 1 لمادة الرياضيات :مستوى 9أساسي
المشتركون والأعضاء الفاعلة في الموقع لهم أولوية التحميل، لكن يمكنك الانتظار 20 ثانية
اشترك الان
1730809669950.jpg
20
Télécharger
1730809671592.jpg
20
Télécharger
1730809673187.jpg
20
Télécharger
1730809674841.jpg
20
Télécharger
1730809674841_1730809784.jpg
20
Télécharger
1730809677486.jpg
20
Télécharger
1730809679170.jpg
20
Télécharger
1730809680763.jpg
20
Télécharger
1730809682345.jpg
20
Télécharger
📄
Télécharger le PDF
0