Chatbox
8ème pilote ثامنة نموذجي
Ajouter des photos
Chargement
0%
classi.tn
Connexion
Confirmer?
Supprimer
Annuler
+
Créer une publication
8ème pilote ثامنة نموذجي
منتدى الثامنة نموذجي
عربية
Français
English
Physique
ت.تكنولوجية
رياضيات
علوم الحياة والأرض
Informatique
ت.إسلامية
ت.مدنية
تاريخ
الجغرافيا
Membres
رياضيات ( 25 )
Serie N°1: College pilote
8ème pilote ثامنة نموذجي
Annuler
Enregistrer
Rejoindre classe
Annuler
Enregistrer
Mesfar Nejah
2025-09-08 • 09:50
رياضيات
⋯
Ouvrir dans un nouvel onglet
Copier lien
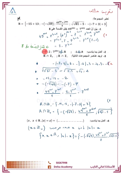
اصلاح فرض مراقبة عدد 1 نموذجي ثامنة
المشتركون والأعضاء الفاعلة في الموقع لهم أولوية التحميل، لكن يمكنك الانتظار 20 ثانية
اشترك الان
1757321329102.jpg
20
Télécharger
1757321333636.jpg
20
Télécharger
1757321335258.jpg
20
Télécharger
1757321336777.jpg
20
Télécharger
1757321338237.jpg
20
Télécharger
1757321339687.jpg
20
Télécharger
1757321341148.jpg
20
Télécharger
📄
Télécharger le PDF
0