Chatbox

8 ème-الثامنة أساسي

Chargement 0%
Aucun texte alternatif disponible.

Confirmer?

البحث في هذا الفصل


📹 VIDÉOS MATH ET INFO EN LIGNE
Publicité vidéo
Regarder des séances math en ligne enregistrées
Des cours en vidéo pour améliorer votre apprentissage

رياضيات 438

أنشطة في الحساب، قابلية القسمة على 8 32

مجموعة الأعداد الصحيحة النسبية 3

الجمع والطرح والضرب في مجموعة الأعداد الصحيحة النس 10

الجمع والطرح في مجموعة الأعداد الكسرية النسبية 6

الضرب والقسمة في مجموعة الأعداد الكسرية النسبية 5

القوى في مجموعة الأعداد الكسرية النسبية 5

المعادلات من الدرجة الأولى ذات مجهول واحد 11

الزوايا الحاصلة عن تقاطع مستقيمين متوازيين مع مستق 8

🎯 امتحانات الثلاثي الأول

📚 استعد للامتحانات

اكتشف جميع الامتحانات والتمارين للثلاثي الأول في مكان واحد!


Deprecated: ucfirst(): Passing null to parameter #1 ($string) of type string is deprecated in /www/classi.tn/class/userClassi.php on line 860
سلسلة تمارين رياضيات
0 Commentaires
  

Commentaires

Aucun commentaire pour le moment.

Photo de Mathématiques

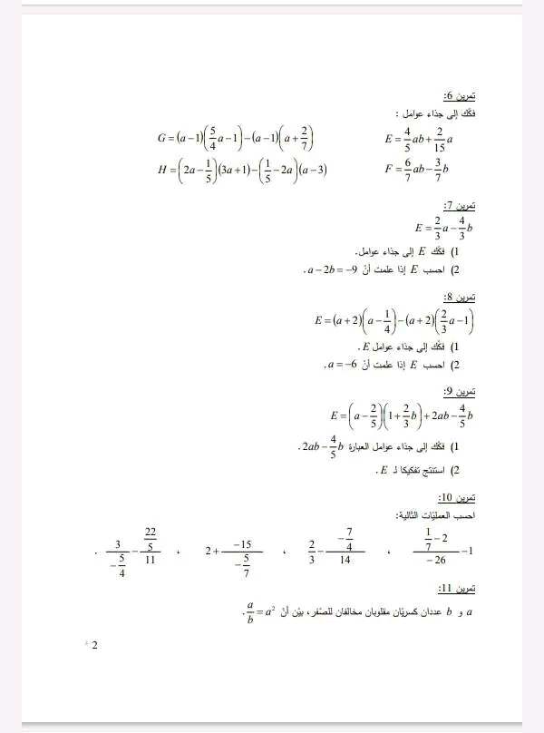
تمارين رياضيات
2
1
0 Commentaires
  

Commentaires

Aucun commentaire pour le moment.

Photo de Zaidfadi
رياضيات سلسلة القوى
 Télécharger 
قوة تمارين واصلاح-1.pdf...
1
0 Commentaires
  

Commentaires

Aucun commentaire pour le moment.

Photo de Classi.tn
إصلاح سلسلة عدد 3 ❤️
مجموعة الأعداد النسبية
ثامنة أساسي ❤️
+2
"
0 Commentaires
  

Commentaires

Aucun commentaire pour le moment.

Photo de Classi.tn
تمارين جبر مرفقة بالاصلاح سنة ثامنة
شكرا لصاحبة العمل
+3
"
1 Commentaires
  

Commentaires

Hasna ben fadhelHasna ben fadhel
شكرا جزيلا
Le 2023-08-29 à 16:15:00
Photo de Sbai mabrouk
سلسلة تمارين ثلثي الثالث 8 أساسي
 Télécharger 
س ت عــ23ــدد.docx
1
2
0 Commentaires
  

Commentaires

Aucun commentaire pour le moment.

Photo de Classi.tn
للسنة الثامنة
فرض مراقبة عدد 4
0 Commentaires
  

Commentaires

Aucun commentaire pour le moment.

Photo de Classi.tn
اصلاح سلسلة تمارين رياضيات
تقايس المثلثات +العمليات في
|R
+1
"
1 Commentaires
  

Commentaires

Mehdi KochlefMehdi Kochlef
ياخي هذا الدرس متع مادام رباب الناصفي ولا انا غالط ؟
Le 2024-01-09 à 18:32:00
سلام عليكم ، بربي شكون يخدملي تمارين هذا حاجتي باش نفهم بيه بنتي و جزاكم الله خيرا
0 Commentaires
  

Commentaires

Aucun commentaire pour le moment.

Photo de Classi.tn
Afficher suite
+10
"
0 Commentaires
  

Commentaires

Aucun commentaire pour le moment.

Photo de Classi.tn
الثامنة اساسي
مراجعة الجزء الاول

الضرب والقسمة في مجموعة الاعداد الكسرية
سلسلة تمارين مرفقة بالاصلاح
+2
"
0 Commentaires
  

Commentaires

Aucun commentaire pour le moment.

Photo de Classi.tn
سلسلة تمارين عدد 3 رياضيات 8 أساسي
0 Commentaires
  

Commentaires

Aucun commentaire pour le moment.

Photo de Classi.tn
سلسلة تمارين عدد 4 رياضيات 8 أساسي
0 Commentaires
  

Commentaires

Aucun commentaire pour le moment.

Photo de Classi.tn
تمارين رياضيات بالاصلاح حول المعادلات ذات مجهول واحد
+13
"
0 Commentaires
  

Commentaires

Aucun commentaire pour le moment.

Photo de Classi.tn
تمارين حول المعادلات
ثامنة اساسي
+1
"
0 Commentaires
  

Commentaires

Aucun commentaire pour le moment.

Photo de Classi.tn
سلسلة تمارين رياضيات
العمليات في
Q
+2
"
0 Commentaires
  

Commentaires

Aucun commentaire pour le moment.

Photo de Classi.tn
المعادلات من الدرجة الأولى ذات مجهول واحد
+4
"
0 Commentaires
  

Commentaires

Aucun commentaire pour le moment.

Photo de Classi.tn
---رباعيات الأضلاع
تلخيص الدرس تمرينات و مسائل مهمة جدا
+2
"
0 Commentaires
  

Commentaires

Aucun commentaire pour le moment.

Photo de Classi.tn
سلسلة تمارين رياضيات
القوة في Q
0 Commentaires
  

Commentaires

Aucun commentaire pour le moment.

Photo de Classi.tn
تمارين القوى في.مجموعة الاعداد الكسرية النسبية
ثامنة اساسي
1 Commentaires
  

Commentaires

Merci
Le 2024-04-24 à 19:16:00
classi.tn
🤖 classi.tn
مرحبًا! ماذا تريد أن تفعل اليوم؟