Chatbox
3 ème Sc Techniques
Ajouter des photos
Chargement
0%
classi.tn
Connexion
Confirmer?
Supprimer
Annuler
+
Créer une publication
3 ème Sc Techniques
Forum 3ème technique
Math
Physique
Informatique
فلسفة
التفكير الإسلامي
التاريخ
الجغرافيا
عربية
Français
English
Allemand
Espagnol
Italien
التربية التشكيلية
Electrique
Mecanique
Membres
Physique ( 37 )
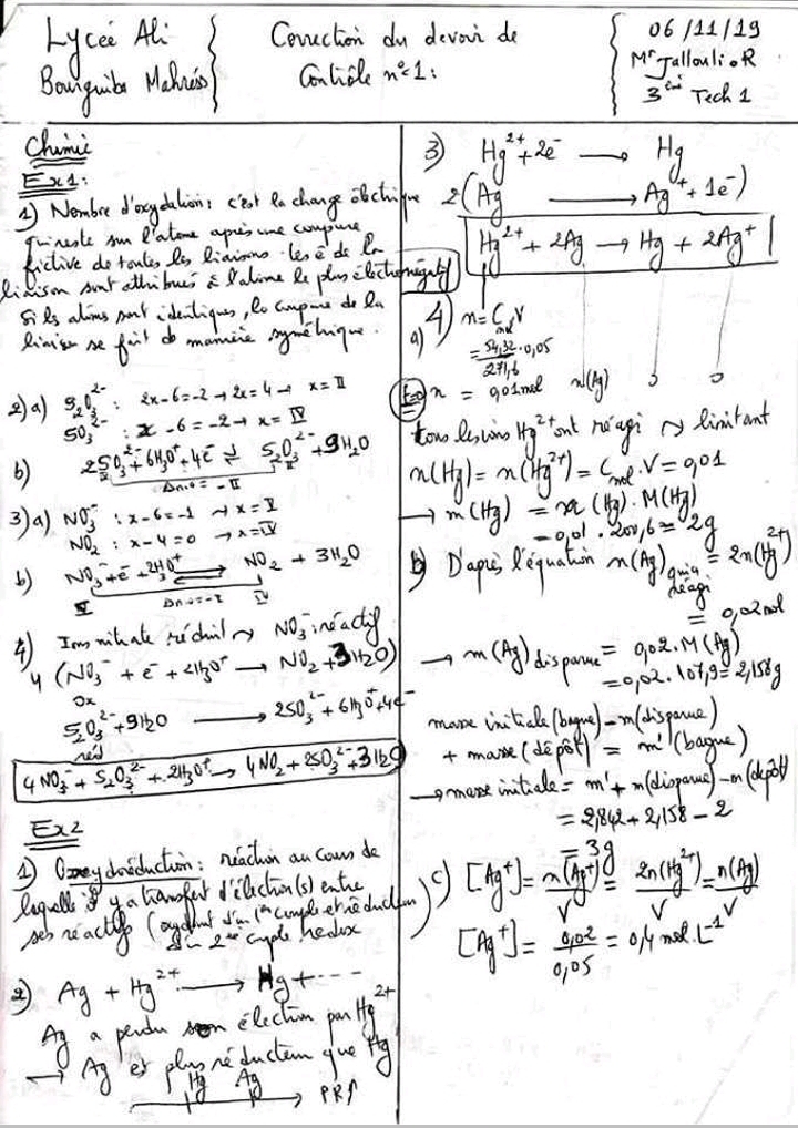
devoir contole 1 physique +correction3eme tech
3 ème Sc Techniques
Annuler
Enregistrer
Rejoindre classe
Annuler
Enregistrer
Science__physique
Prof
هذا المحتوى خاص فقط لمشتركي
classi.tn
2024-11-01 • 19:10
Physique
⋯
Ouvrir dans un nouvel onglet
Copier lien
Devoir contrôle 1 - 3eme technique
تسجيل الدخول مطلوب
🔐 لمشاهدة المحتوى يجب عليك فتح حساب في الموقع
افتح حسابك الان
0