Chatbox
3 ème Sc expérimentales
Ajouter des photos
Chargement
0%
classi.tn
Connexion
Confirmer?
Supprimer
Annuler
+
Créer une publication
3 ème Sc expérimentales
Forum 3ème sciences
Sciences SVT
Math
Physique
Informatique
Français
English
Espagnol
Italien
عربية
التربية التشكيلية
تاريخ
جغرافيا
التفكير الإسلامي
فلسفة
Membres
Physique ( 130 )
Série n°6 Les acides carboxyliques aliphatiques saturés3SC
Étude expérimentale du mouvement d’un projectile3SC
Série n°7 Étude dynamique d'un solide en mouvement de translation
Voir Tout
3 ème Sc expérimentales
Annuler
Enregistrer
Rejoindre classe
Annuler
Enregistrer
Science__physique
Prof
هذا المحتوى خاص فقط لمشتركي
classi.tn
2024-12-05 • 18:04
Physique
⋯
Ouvrir dans un nouvel onglet
Copier lien
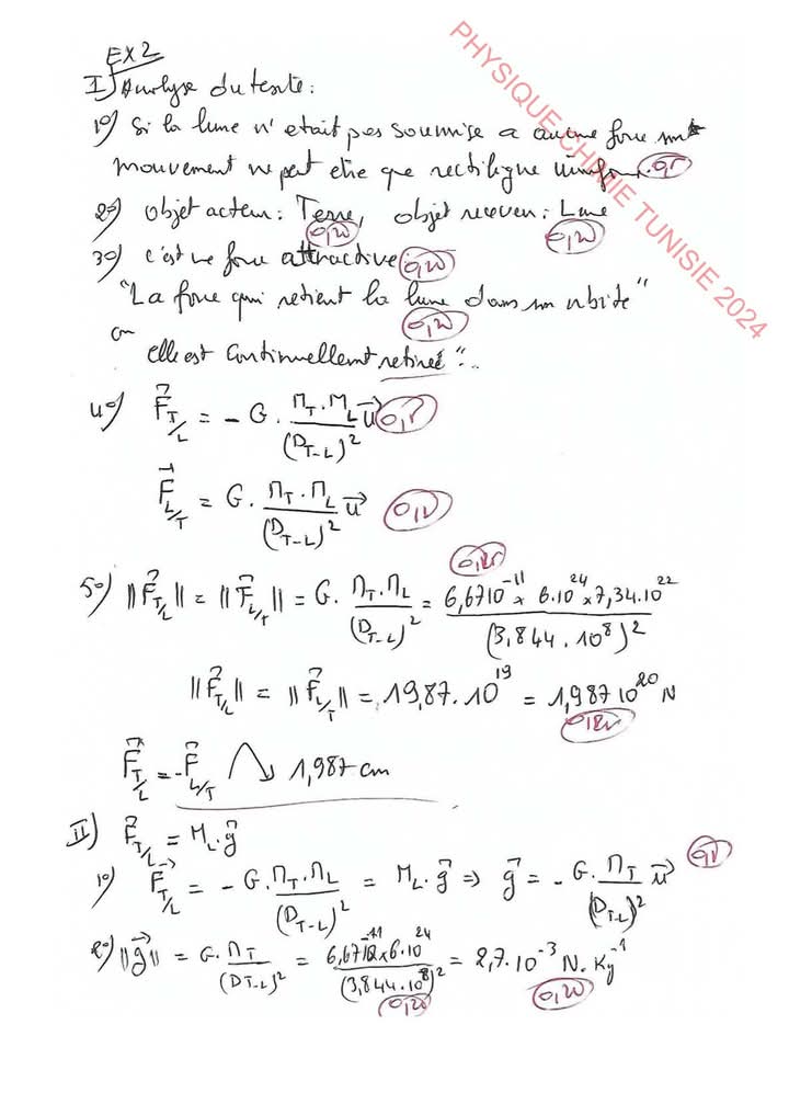
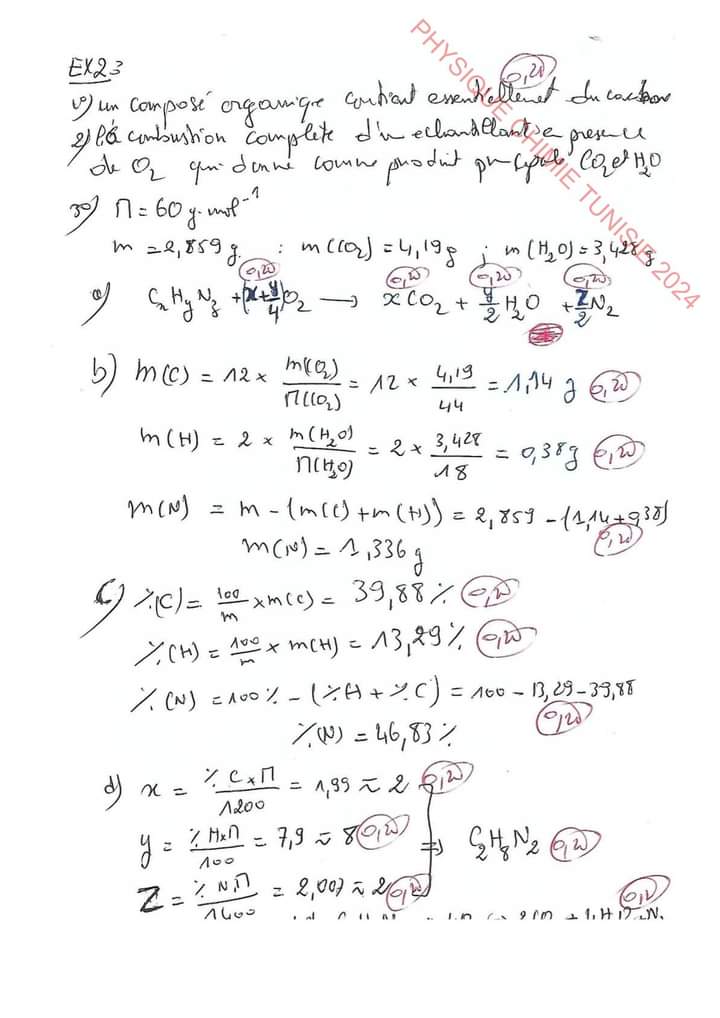
DEVOIR SYNTHESE 1 avec correction 3 SCIENCES
تسجيل الدخول مطلوب
🔐 لمشاهدة المحتوى يجب عليك فتح حساب في الموقع
افتح حسابك الان
0