Chatbox
Bac Sc de l'informatique
Ajouter des photos
Chargement
0%
classi.tn
Connexion
Confirmer?
Supprimer
Annuler
+
Créer une publication
Bac Sc de l'informatique
Forum Bac Info
Algorithme et programmation
Base de données
Math
Physique
TIC
Français
عربية
English
Allemand
Espagnol
Italien
Membres
Physique ( 71 )
DEVOIR A LA MAISON 1ERE TRIMESTRE 4Sc.Inf Corrigé
Voir Tout
Bac Sc de l'informatique
Annuler
Enregistrer
Rejoindre classe
Annuler
Enregistrer
Science__physique
Prof
هذا المحتوى خاص فقط لمشتركي
classi.tn
2024-11-16 • 11:09
Physique
⋯
Ouvrir dans un nouvel onglet
Copier lien
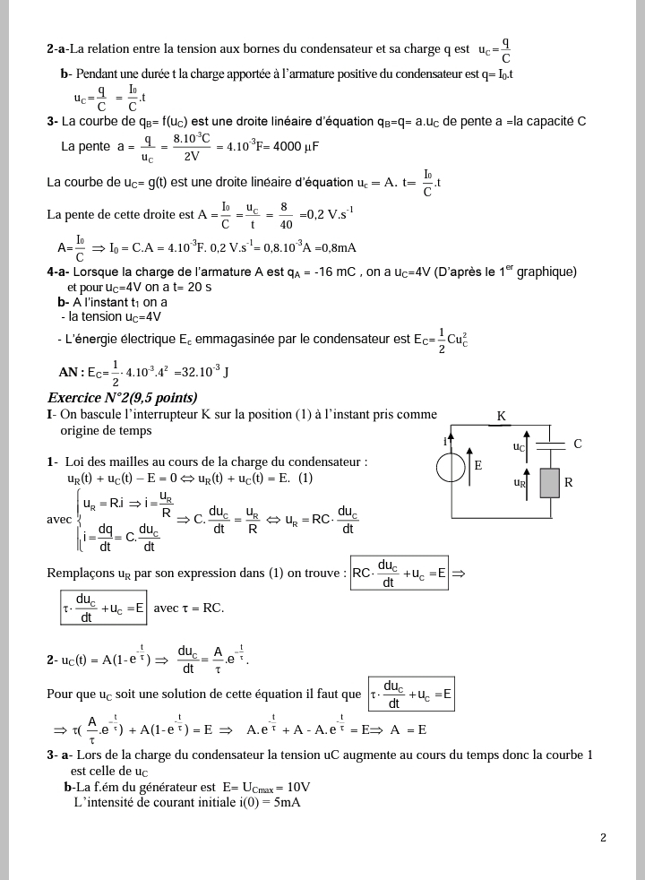
Devoir de contrôle 1 - Bac Sc informatique
المشتركون والأعضاء الفاعلة في الموقع لهم أولوية التحميل، لكن يمكنك الانتظار 20 ثانية
اشترك الان
1000014807.jpg
20
Télécharger
1000014809.jpg
20
Télécharger
1000014811.jpg
20
Télécharger
1000014813.jpg
20
Télécharger
1000014815.jpg
20
Télécharger
1000014817.jpg
20
Télécharger
📄
Télécharger le PDF
0