Chatbox
Bac Sc de l'informatique
Ajouter des photos
Chargement
0%
classi.tn
Connexion
Confirmer?
Supprimer
Annuler
+
Créer une publication
Bac Sc de l'informatique
Forum Bac Info
Algorithme et programmation
Base de données
Math
Physique
TIC
Français
عربية
English
Allemand
Espagnol
Italien
Membres
Physique ( 71 )
DEVOIR A LA MAISON 1ERE TRIMESTRE 4Sc.Inf Corrigé
Voir Tout
Bac Sc de l'informatique
Annuler
Enregistrer
Rejoindre classe
Annuler
Enregistrer
Science__physique
Prof
هذا المحتوى خاص فقط لمشتركي
classi.tn
2024-03-13 • 17:53
Physique
⋯
Ouvrir dans un nouvel onglet
Copier lien
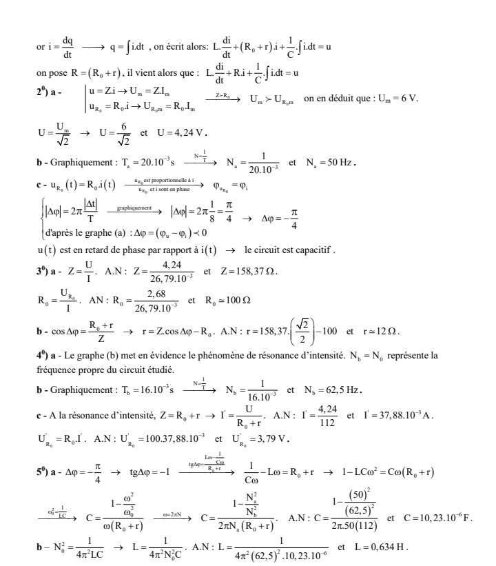
Exercice RLC forcé corrigée - Bac Math + Bac technique + Bac SC expérimentale
المشتركون والأعضاء الفاعلة في الموقع لهم أولوية التحميل، لكن يمكنك الانتظار 20 ثانية
اشترك الان
1016658_1.jpg
20
Télécharger
1016658_2.jpg
20
Télécharger
1016658_3.jpg
20
Télécharger
1016658_4.jpg
20
Télécharger
1016658_5.jpg
20
Télécharger
📄
Télécharger le PDF
0