Chatbox
Bac Technique
Ajouter des photos
Chargement
0%
classi.tn
Connexion
Confirmer?
Supprimer
Annuler
+
Créer une publication
Bac Technique
Forum Bac Tech
Math
Physique
Informatique
Français
عربية
English
Allemand
Espagnol
Italien
mecanique
electrique
Chimie
Technologie
Membres
Physique ( 69 )
Voir Tout
Bac Technique
Annuler
Enregistrer
Rejoindre classe
Annuler
Enregistrer
Science__physique
Prof
هذا المحتوى خاص فقط لمشتركي
classi.tn
2024-11-04 • 10:02
Physique
⋯
Ouvrir dans un nouvel onglet
Copier lien
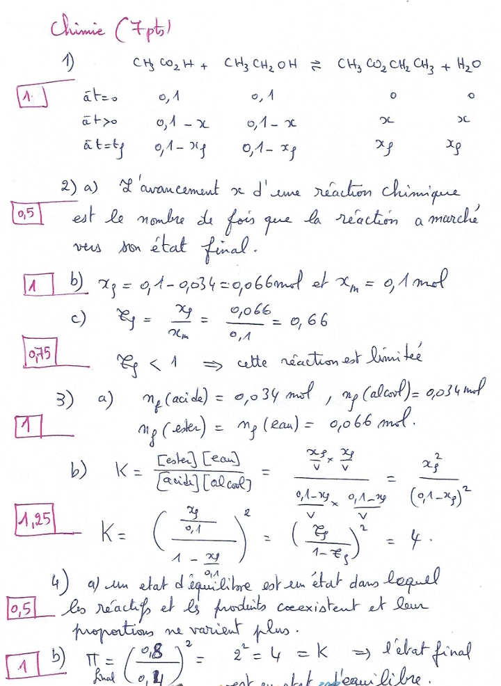
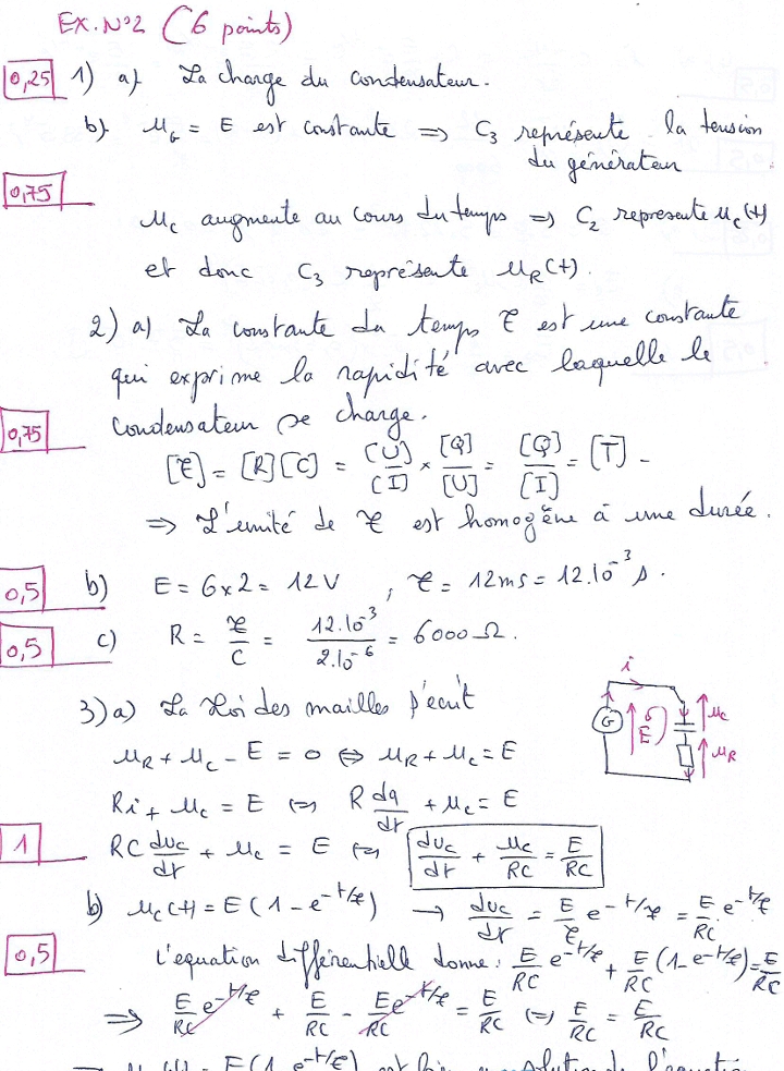
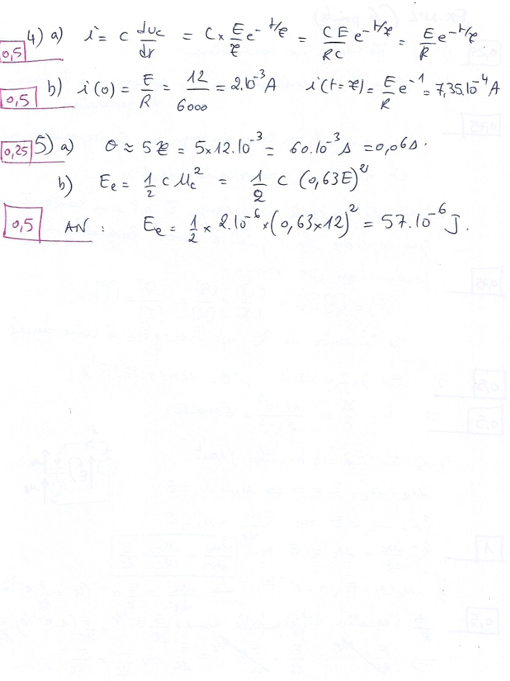
Devoir de Contrôle N°1 Avec correction- Sciences physiques - Bac Technique
المشتركون والأعضاء الفاعلة في الموقع لهم أولوية التحميل، لكن يمكنك الانتظار 20 ثانية
اشترك الان
1000014078.jpg
20
Télécharger
1000014080.jpg
20
Télécharger
1000014082.jpg
20
Télécharger
1000014084.jpg
20
Télécharger
1000014086.jpg
20
Télécharger
1000014088.jpg
20
Télécharger
1000014090.jpg
20
Télécharger
📄
Télécharger le PDF
0