Chatbox
Bac math
Ajouter des photos
Chargement
0%
classi.tn
Connexion
Confirmer?
Supprimer
Annuler
+
Créer une publication
Bac math
Forum Bac Math
Math
Physique
Sciences SVT
Informatique
عربية
فلسفة
Français
English
Espagnol
Italien
Allemand
Membres
Physique ( 214 )
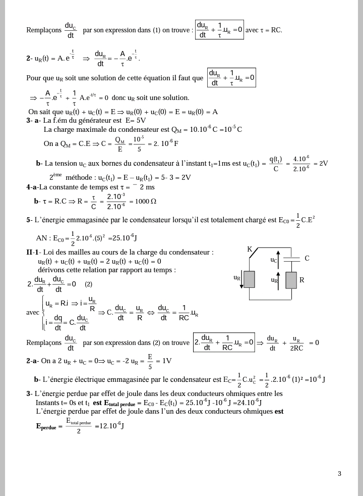
DEVOIR A LA MAISON Corrigé 1ERE TRIMESTRE 4Math
Devoir de synthèse N°1 bac math avec correction
Serie physique dipôle RL
Voir Tout
Bac math
Annuler
Enregistrer
Rejoindre classe
Annuler
Enregistrer
Science__physique
Prof
هذا المحتوى خاص فقط لمشتركي
classi.tn
2024-09-28 • 07:24
Physique
⋯
Ouvrir dans un nouvel onglet
Copier lien
Devoir contrôle 1 - Bac math
المشتركون والأعضاء الفاعلة في الموقع لهم أولوية التحميل، لكن يمكنك الانتظار 20 ثانية
اشترك الان
1000011545.jpg
20
Télécharger
1000011547.jpg
20
Télécharger
1000011549.jpg
20
Télécharger
1000011551.jpg
20
Télécharger
1000011553.jpg
20
Télécharger
1000011555.jpg
20
Télécharger
1000011557.jpg
20
Télécharger
1000011559.jpg
20
Télécharger
📄
Télécharger le PDF
0