Chatbox
Bac math
Ajouter des photos
Chargement
0%
classi.tn
Connexion
Confirmer?
Supprimer
Annuler
+
Créer une publication
Bac math
Forum Bac Math
Math
Physique
Sciences SVT
Informatique
عربية
فلسفة
Français
English
Espagnol
Italien
Allemand
Membres
Physique ( 214 )
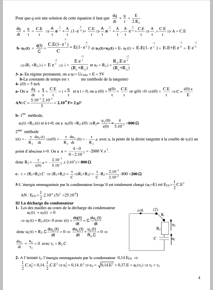
DEVOIR A LA MAISON Corrigé 1ERE TRIMESTRE 4Math
Devoir de synthèse N°1 bac math avec correction
Serie physique dipôle RL
Voir Tout
Bac math
Annuler
Enregistrer
Rejoindre classe
Annuler
Enregistrer
Science__physique
Prof
هذا المحتوى خاص فقط لمشتركي
classi.tn
2024-09-28 • 07:10
Physique
⋯
Ouvrir dans un nouvel onglet
Copier lien
Devoir contrôle 1 - Bac math
المشتركون والأعضاء الفاعلة في الموقع لهم أولوية التحميل، لكن يمكنك الانتظار 20 ثانية
اشترك الان
1000011483.jpg
20
Télécharger
1000011485.jpg
20
Télécharger
1000011487.jpg
20
Télécharger
1000011489.jpg
20
Télécharger
1000011491.jpg
20
Télécharger
1000011493.jpg
20
Télécharger
1000011495.jpg
20
Télécharger
1000011497.jpg
20
Télécharger
1000011499.jpg
20
Télécharger
📄
Télécharger le PDF
0