Chatbox
Bac math
Ajouter des photos
Chargement
0%
classi.tn
Connexion
Confirmer?
Supprimer
Annuler
+
Créer une publication
Bac math
Forum Bac Math
Math
Physique
Sciences SVT
Informatique
عربية
فلسفة
Français
English
Espagnol
Italien
Allemand
Membres
Physique ( 214 )
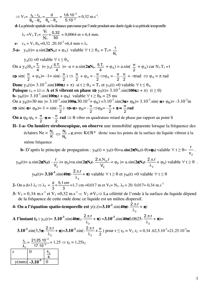
DEVOIR A LA MAISON Corrigé 1ERE TRIMESTRE 4Math
Devoir de synthèse N°1 bac math avec correction
Serie physique dipôle RL
Voir Tout
Bac math
Annuler
Enregistrer
Rejoindre classe
Annuler
Enregistrer
Science__physique
Prof
هذا المحتوى خاص فقط لمشتركي
classi.tn
2024-03-29 • 17:09
Physique
⋯
Ouvrir dans un nouvel onglet
Copier lien
Devoir de contrôle n°3 corrigé - Bac Math
المشتركون والأعضاء الفاعلة في الموقع لهم أولوية التحميل، لكن يمكنك الانتظار 20 ثانية
اشترك الان
1018356_1.jpg
20
Télécharger
1018356_2.jpg
20
Télécharger
1018356_3.jpg
20
Télécharger
1018356_4.jpg
20
Télécharger
1018356_5.jpg
20
Télécharger
1018356_6.jpg
20
Télécharger
1018356_7.jpg
20
Télécharger
1018356_8.jpg
20
Télécharger
1018356_9.jpg
20
Télécharger
📄
Télécharger le PDF
0